mp-559514/Nd4S3NCl3/harm

Harmonic properties

../../_images/fig_bandos_pr7935.png

(a) Phonon dispersion with participation ratio and DOS

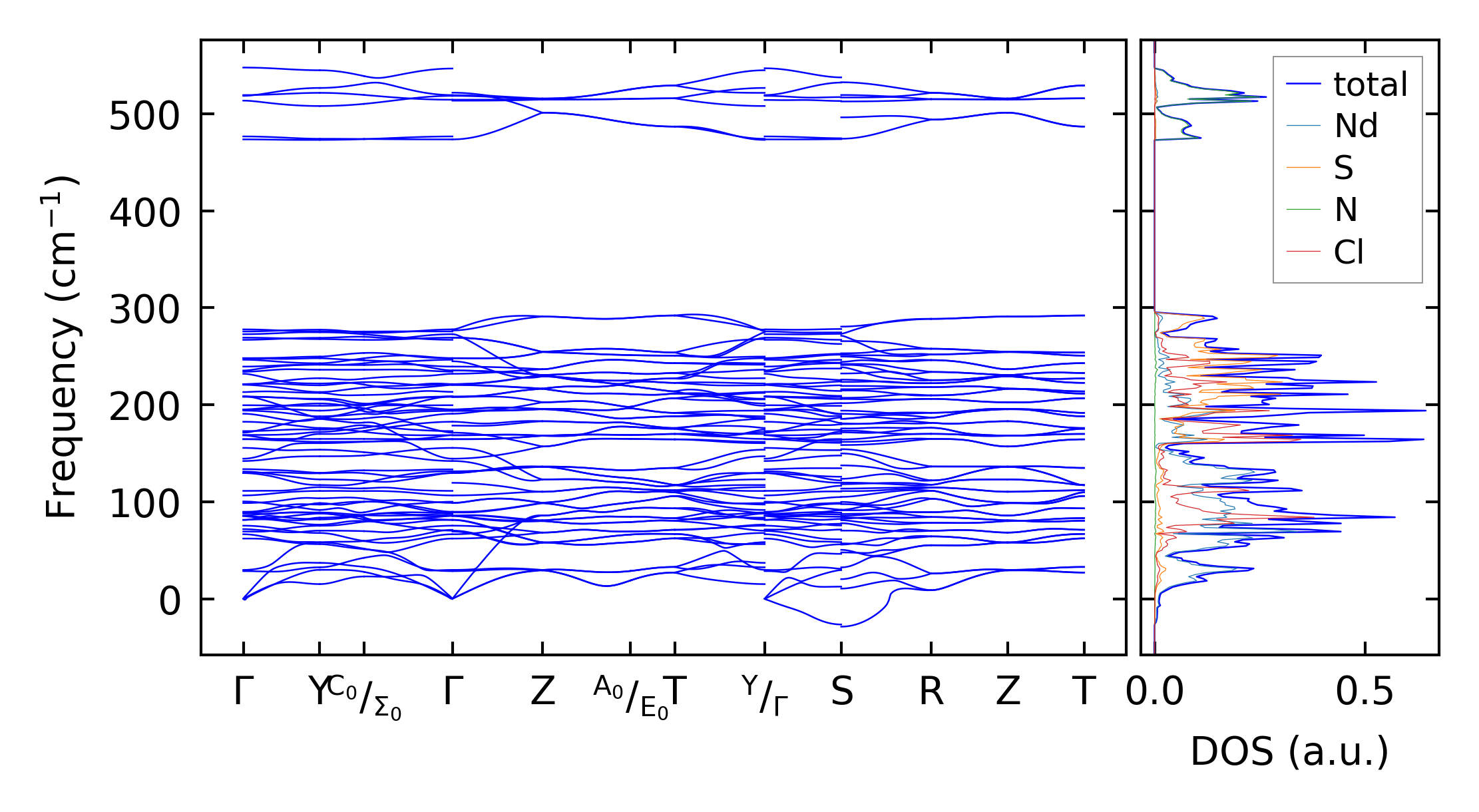
../../_images/fig_bandos11150.png

(b) Phonon dispersion and DOS

../../_images/fig_thermo7935.png

(c) Thermodynamic properties

Force constants

../../_images/fig_fc27697.png

(a) Force constants w.r.t atomic distance

Summary

../../_images/fig_times13990.png

(a) Computation time