mp-559014-2/Nd4GeO8/anharm

Equation of state

../../_images/fig_bm4046.png

(a) Equation of state

Harmonic properties

../../_images/fig_bandos_pr7837.png

(a) Phonon dispersion with participation ratio and DOS

../../_images/fig_bandos10999.png

(b) Phonon dispersion and DOS

../../_images/fig_thermo7837.png

(c) Thermodynamic properties

Grüneisen parameters

../../_images/fig_gru_all3260.png

(a) Grüneisen parameters

../../_images/fig_gruneisen3260.png

(b) Phonon dispersion with Grüneisen parameters

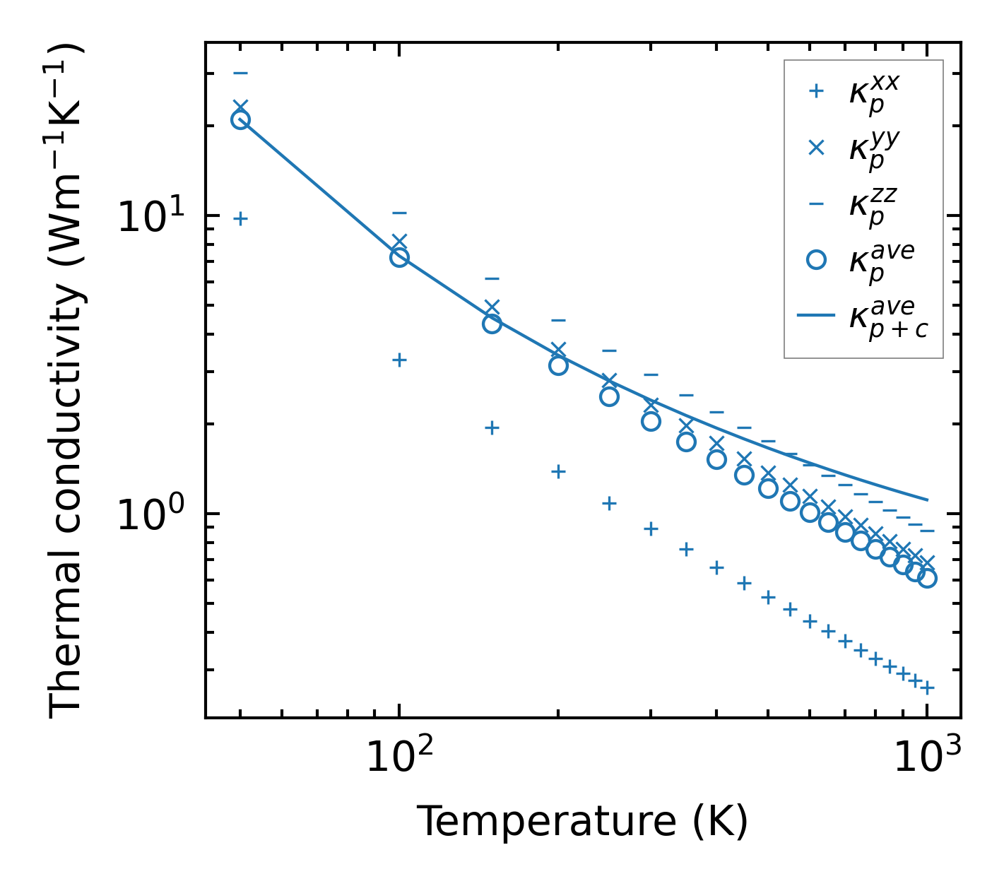
Thermal conductivity

3-phonon (LASSO) — q-mesh: 4x9x12, supercell: 1x1x2

../../_images/fig_kappa6175.png

(a) Temperature-dependent lattice thermal conductivity

../../_images/fig_kappa_vs_grain_size3302.png

(b) Peierls lattice thermal conductivity w.r.t grain size

Phonon lifetime and scattering rates

../../_images/fig_lifetime3232.png

(a) Phonon lifetime due to phonon-phonon scattering

../../_images/fig_scat_rates3231.png

(b) Phonon scattering rates

Cumulative and spectral thermal conductivity

../../_images/fig_cumu_frequency3232.png

(a) Spectral and cumulative thermal conductivity w.r.t frequency

../../_images/fig_cumu_mfp3231.png

(b) Spectral and cumulative thermal conductivity w.r.t MFP

Force constants

../../_images/fig_fc27600.png

(a) Force constants w.r.t atomic distance

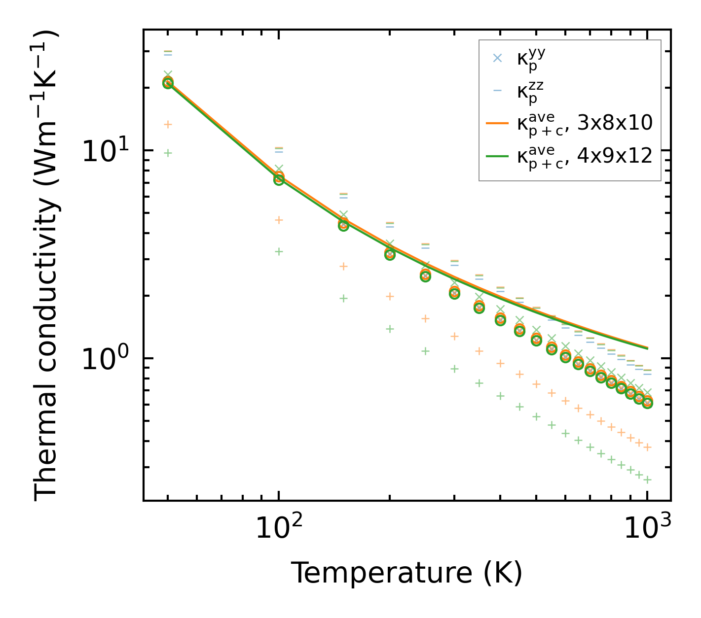
Summary

../../_images/fig_kappa6176.png

(a) Temperature-dependent lattice thermal conductivity

../../_images/fig_times13818.png

(b) Computation time