mp-559831/Na3VS2O2/anharm

Harmonic properties

../../_images/fig_bandos_pr7685.png

(a) Phonon dispersion with participation ratio and DOS

../../_images/fig_thermo7685.png

(b) Thermodynamic properties

Grüneisen parameters

../../_images/fig_gru_all3214.png

(a) Grüneisen parameters

../../_images/fig_gruneisen3214.png

(b) Phonon dispersion with Grüneisen parameters

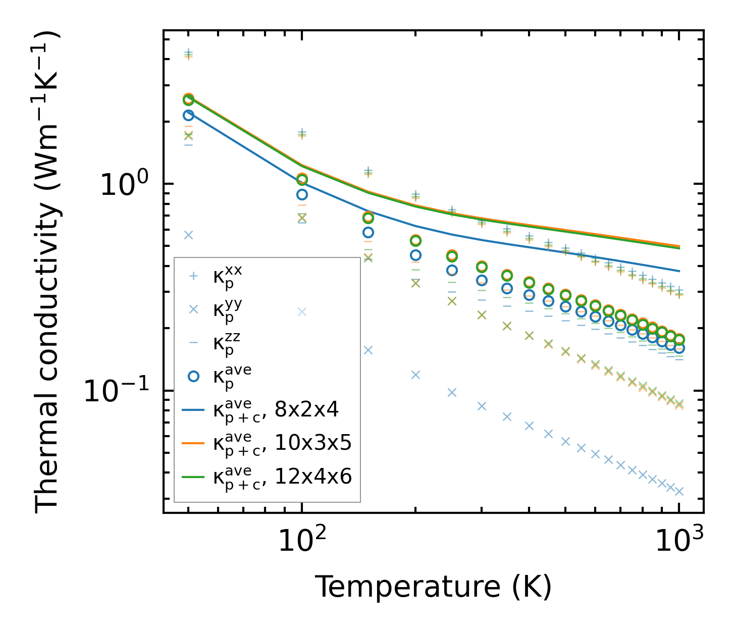
Thermal conductivity

3-phonon (LASSO) — q-mesh: 12x4x6, supercell: 2x1x1

../../_images/fig_kappa6086.png

(a) Temperature-dependent lattice thermal conductivity

../../_images/fig_kappa_vs_grain_size3255.png

(b) Peierls lattice thermal conductivity w.r.t grain size

Phonon lifetime and scattering rates

../../_images/fig_lifetime3186.png

(a) Phonon lifetime due to phonon-phonon scattering

../../_images/fig_scat_rates3185.png

(b) Phonon scattering rates

Cumulative and spectral thermal conductivity

../../_images/fig_cumu_frequency3186.png

(a) Spectral and cumulative thermal conductivity w.r.t frequency

../../_images/fig_cumu_mfp3185.png

(b) Spectral and cumulative thermal conductivity w.r.t MFP

Force constants

../../_images/fig_fc27448.png

(a) Force constants w.r.t atomic distance

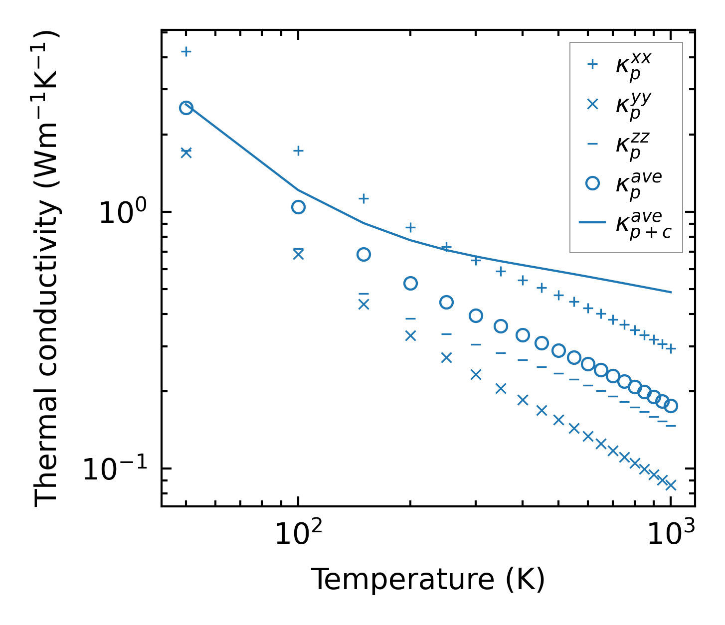
Summary

../../_images/fig_kappa6087.png

(a) Temperature-dependent lattice thermal conductivity

../../_images/fig_times13575.png

(b) Computation time