mp-559481/BaVClO3/anharm

Harmonic properties

../../_images/fig_bandos_pr7931.png

(a) Phonon dispersion with participation ratio and DOS

../../_images/fig_thermo7931.png

(b) Thermodynamic properties

Grüneisen parameters

../../_images/fig_gru_all3284.png

(a) Grüneisen parameters

../../_images/fig_gruneisen3284.png

(b) Phonon dispersion with Grüneisen parameters

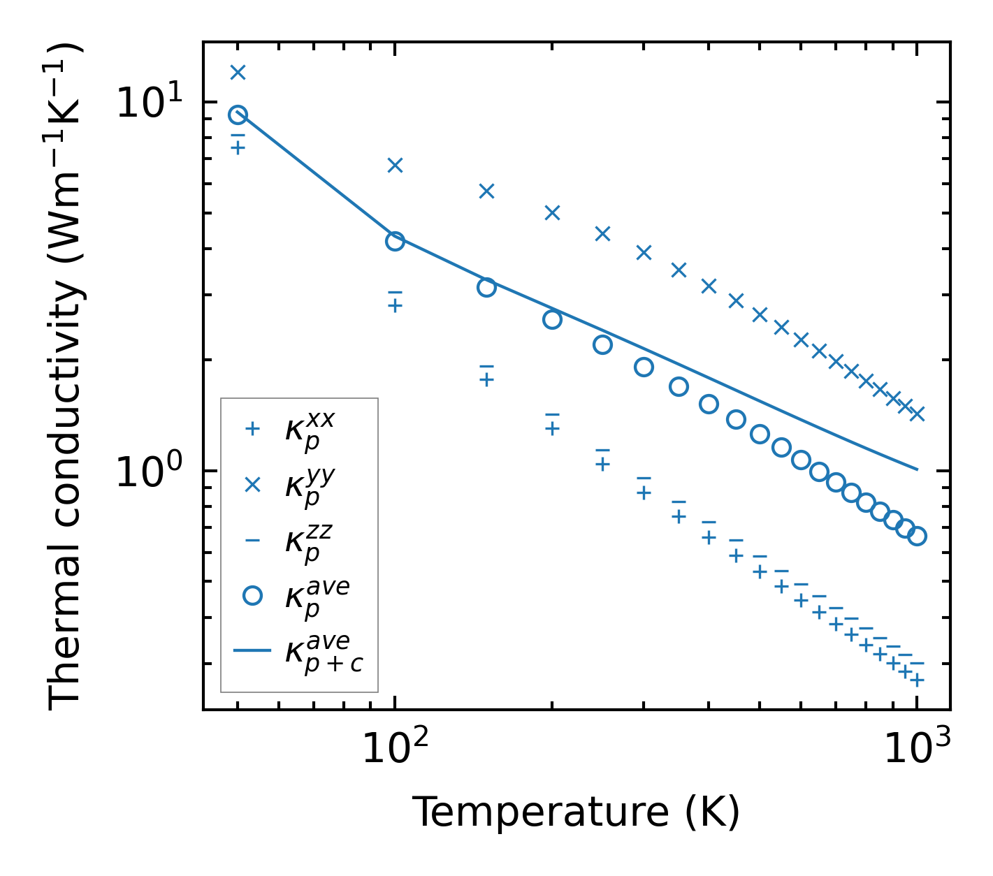
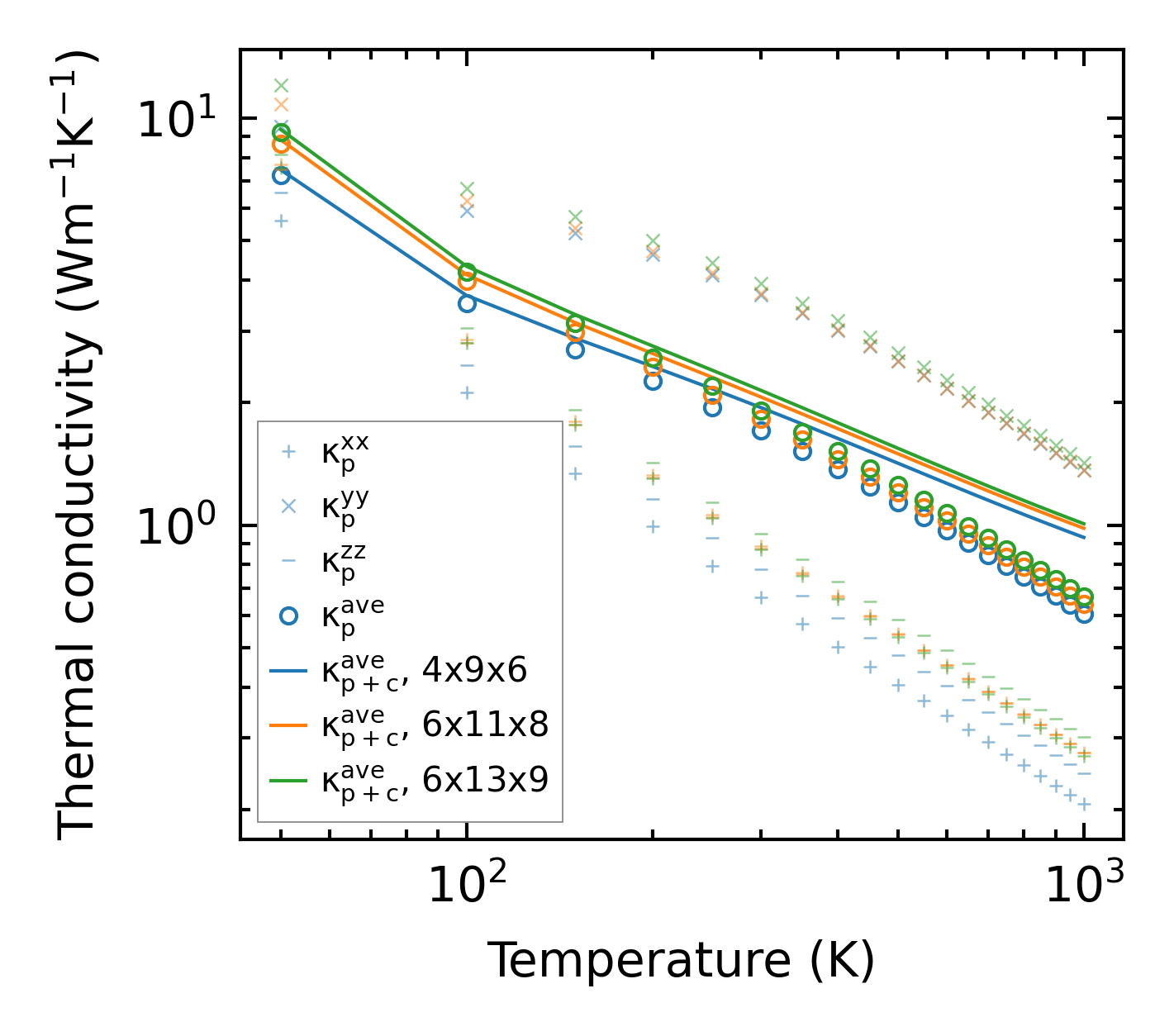
Thermal conductivity

3-phonon (LASSO) — q-mesh: 6x13x9, supercell: 1x2x2

../../_images/fig_kappa6221.png

(a) Temperature-dependent lattice thermal conductivity

../../_images/fig_kappa_vs_grain_size3327.png

(b) Peierls lattice thermal conductivity w.r.t grain size

Phonon lifetime and scattering rates

../../_images/fig_lifetime3256.png

(a) Phonon lifetime due to phonon-phonon scattering

../../_images/fig_scat_rates3255.png

(b) Phonon scattering rates

Cumulative and spectral thermal conductivity

../../_images/fig_cumu_frequency3256.png

(a) Spectral and cumulative thermal conductivity w.r.t frequency

../../_images/fig_cumu_mfp3255.png

(b) Spectral and cumulative thermal conductivity w.r.t MFP

Force constants

../../_images/fig_fc27693.png

(a) Force constants w.r.t atomic distance

Summary

../../_images/fig_kappa6222.png

(a) Temperature-dependent lattice thermal conductivity

../../_images/fig_times13983.png

(b) Computation time