mp-559348-2/BaZrB2O6/harm

Equation of state

../../_images/fig_bm4074.png

(a) Equation of state

Harmonic properties

../../_images/fig_bandos_pr7910.png

(a) Phonon dispersion with participation ratio and DOS

../../_images/fig_bandos11110.png

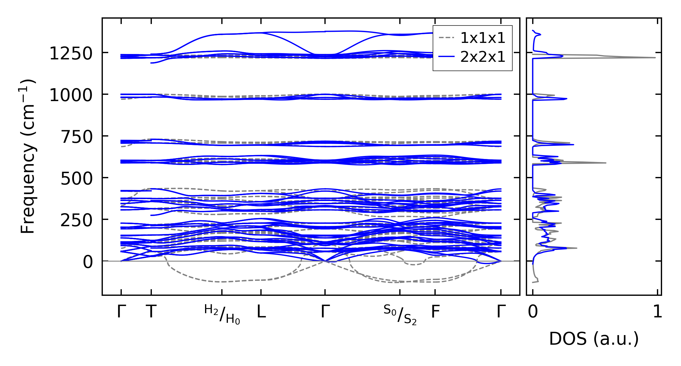
(b) Phonon dispersion and DOS

../../_images/fig_thermo7910.png

(c) Thermodynamic properties

Force constants

../../_images/fig_fc27672.png

(a) Force constants w.r.t atomic distance

Summary

../../_images/fig_times13942.png

(a) Computation time