mp-559893/LiBiPd2O4/anharm

Harmonic properties

../../_images/fig_bandos_pr7699.png

(a) Phonon dispersion with participation ratio and DOS

../../_images/fig_thermo7699.png

(b) Thermodynamic properties

Grüneisen parameters

../../_images/fig_gru_all3221.png

(a) Grüneisen parameters

../../_images/fig_gruneisen3221.png

(b) Phonon dispersion with Grüneisen parameters

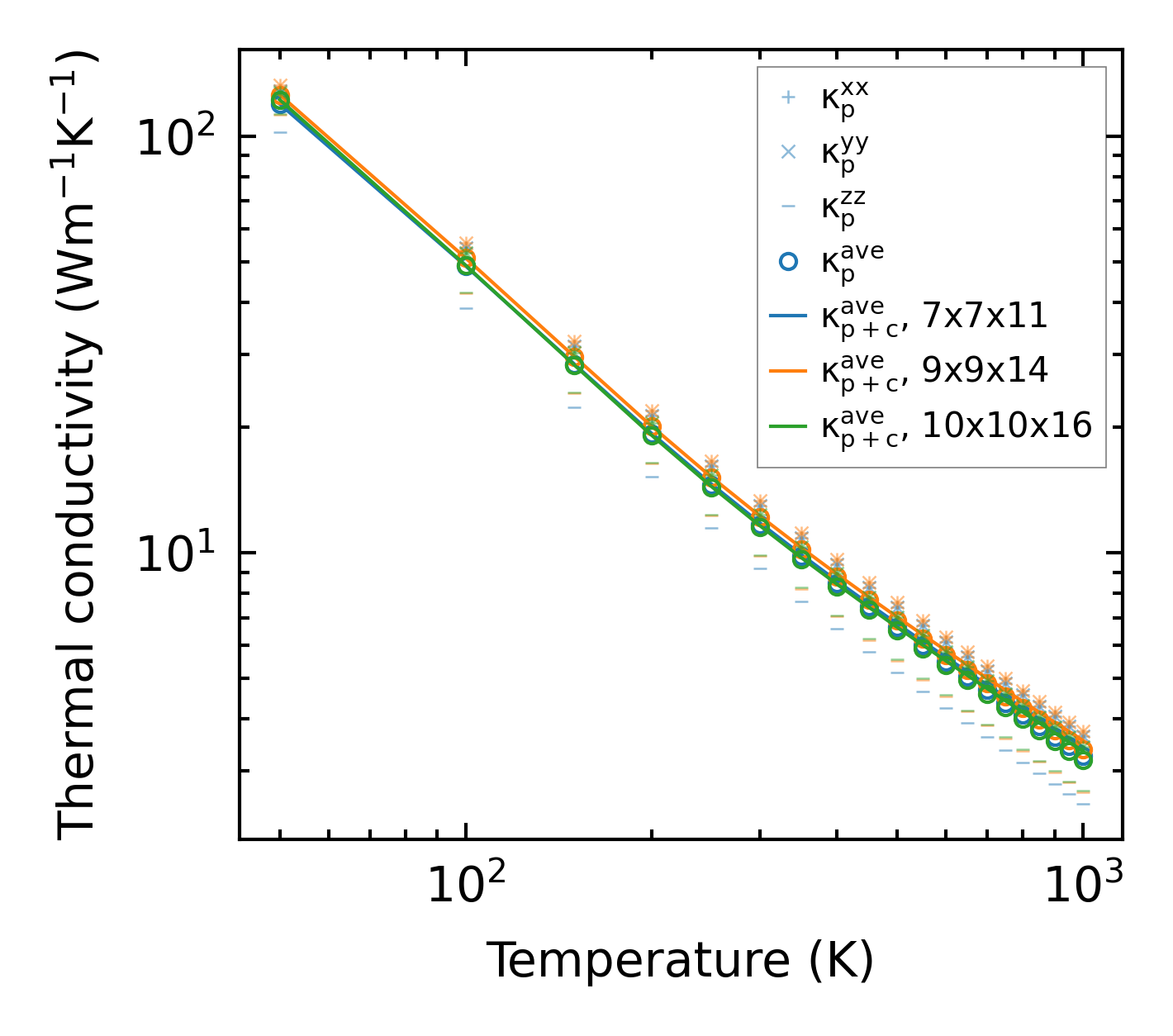
Thermal conductivity

3-phonon (LASSO) — q-mesh: 10x10x16, supercell: 2x2x2

../../_images/fig_kappa6101.png

(a) Temperature-dependent lattice thermal conductivity

../../_images/fig_kappa_vs_grain_size3263.png

(b) Peierls lattice thermal conductivity w.r.t grain size

Phonon lifetime and scattering rates

../../_images/fig_lifetime3193.png

(a) Phonon lifetime due to phonon-phonon scattering

../../_images/fig_scat_rates3192.png

(b) Phonon scattering rates

Cumulative and spectral thermal conductivity

../../_images/fig_cumu_frequency3193.png

(a) Spectral and cumulative thermal conductivity w.r.t frequency

../../_images/fig_cumu_mfp3192.png

(b) Spectral and cumulative thermal conductivity w.r.t MFP

Force constants

../../_images/fig_fc27462.png

(a) Force constants w.r.t atomic distance

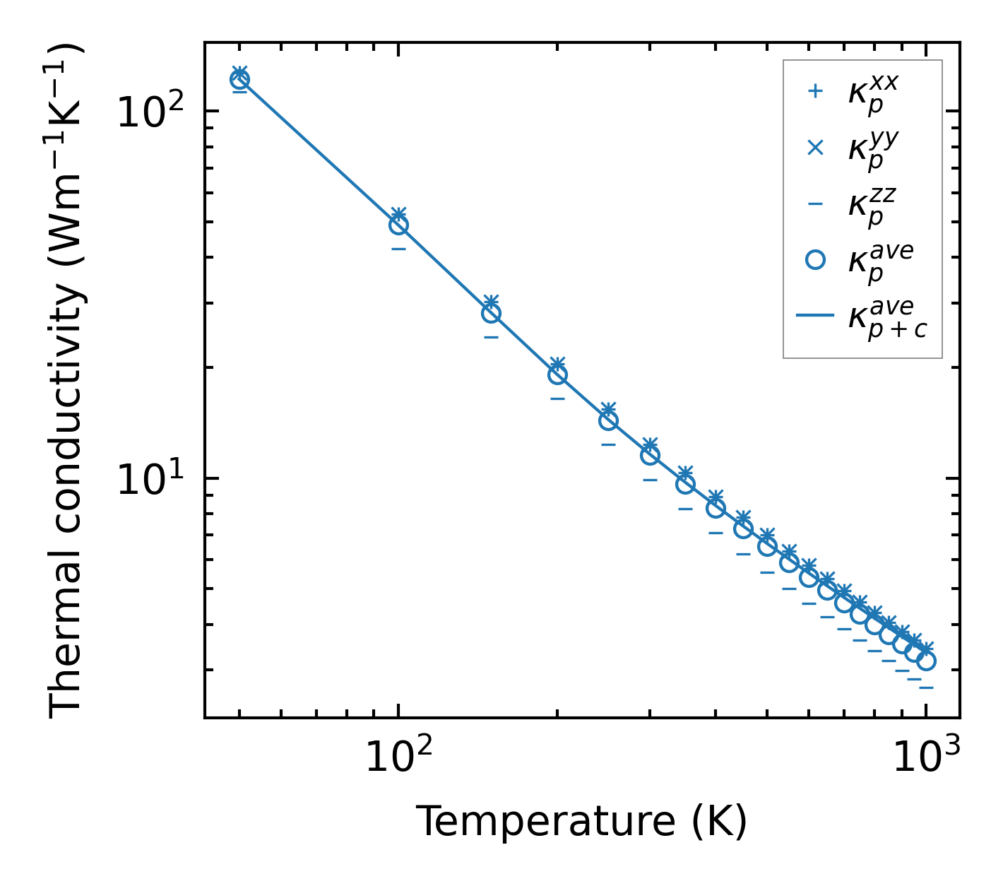
Summary

../../_images/fig_kappa6102.png

(a) Temperature-dependent lattice thermal conductivity

../../_images/fig_times13599.png

(b) Computation time