mp-559933/Ba3In2Cl2O5/harm

Harmonic properties

../../_images/fig_bandos_pr7709.png

(a) Phonon dispersion with participation ratio and DOS

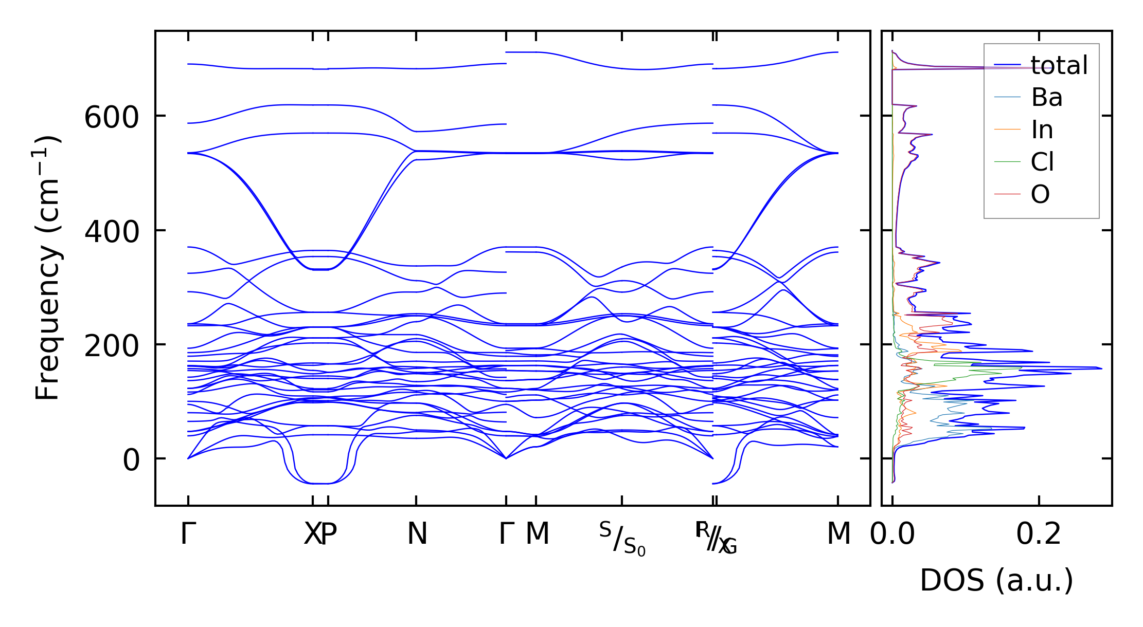
../../_images/fig_bandos10826.png

(b) Phonon dispersion and DOS

../../_images/fig_thermo7709.png

(c) Thermodynamic properties

Force constants

../../_images/fig_fc27472.png

(a) Force constants w.r.t atomic distance

Summary

../../_images/fig_times13616.png

(a) Computation time