mp-559025/BaErAgS3/anharm

Harmonic properties

../../_images/fig_bandos_pr7838.png

(a) Phonon dispersion with participation ratio and DOS

../../_images/fig_thermo7838.png

(b) Thermodynamic properties

Grüneisen parameters

../../_images/fig_gru_all3261.png

(a) Grüneisen parameters

../../_images/fig_gruneisen3261.png

(b) Phonon dispersion with Grüneisen parameters

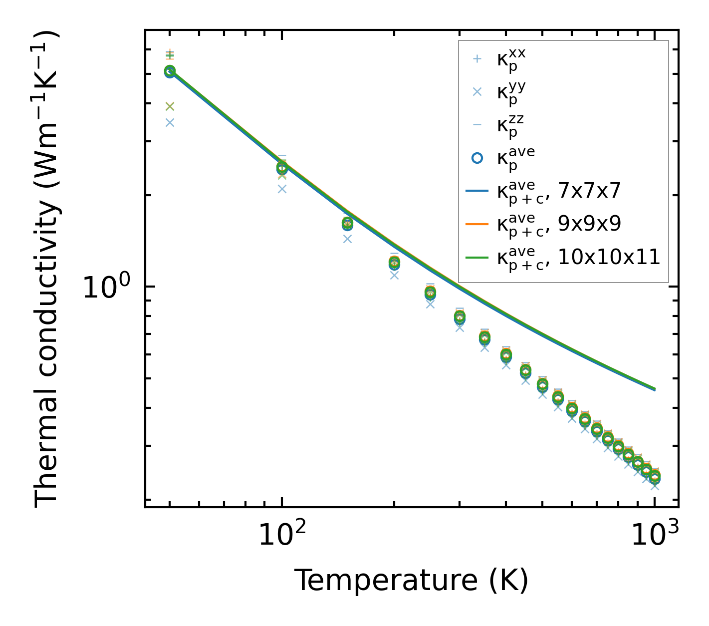
Thermal conductivity

3-phonon (LASSO) — q-mesh: 10x10x11, supercell: 1x3x2

../../_images/fig_kappa6177.png

(a) Temperature-dependent lattice thermal conductivity

../../_images/fig_kappa_vs_grain_size3303.png

(b) Peierls lattice thermal conductivity w.r.t grain size

Phonon lifetime and scattering rates

../../_images/fig_lifetime3233.png

(a) Phonon lifetime due to phonon-phonon scattering

../../_images/fig_scat_rates3232.png

(b) Phonon scattering rates

Cumulative and spectral thermal conductivity

../../_images/fig_cumu_frequency3233.png

(a) Spectral and cumulative thermal conductivity w.r.t frequency

../../_images/fig_cumu_mfp3232.png

(b) Spectral and cumulative thermal conductivity w.r.t MFP

Force constants

../../_images/fig_fc27601.png

(a) Force constants w.r.t atomic distance

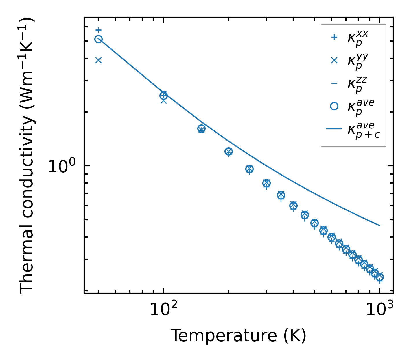
Summary

../../_images/fig_kappa6178.png

(a) Temperature-dependent lattice thermal conductivity

../../_images/fig_times13819.png

(b) Computation time