mp-559808-2/Cs3PO4/anharm

Equation of state

../../_images/fig_bm3988.png

(a) Equation of state

Harmonic properties

../../_images/fig_bandos_pr7680.png

(a) Phonon dispersion with participation ratio and DOS

../../_images/fig_bandos10788.png

(b) Phonon dispersion and DOS

../../_images/fig_thermo7680.png

(c) Thermodynamic properties

Grüneisen parameters

../../_images/fig_gru_all3212.png

(a) Grüneisen parameters

../../_images/fig_gruneisen3212.png

(b) Phonon dispersion with Grüneisen parameters

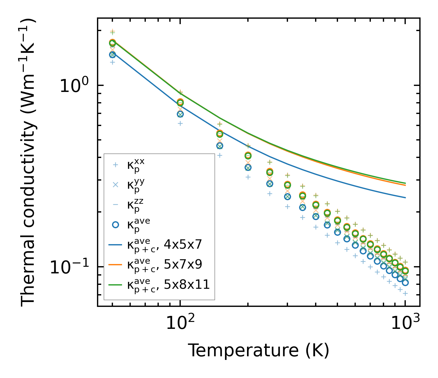
Thermal conductivity

3-phonon (LASSO) — q-mesh: 5x8x11, supercell: 1x2x2

../../_images/fig_kappa6082.png

(a) Temperature-dependent lattice thermal conductivity

../../_images/fig_kappa_vs_grain_size3253.png

(b) Peierls lattice thermal conductivity w.r.t grain size

Phonon lifetime and scattering rates

../../_images/fig_lifetime3184.png

(a) Phonon lifetime due to phonon-phonon scattering

../../_images/fig_scat_rates3183.png

(b) Phonon scattering rates

Cumulative and spectral thermal conductivity

../../_images/fig_cumu_frequency3184.png

(a) Spectral and cumulative thermal conductivity w.r.t frequency

../../_images/fig_cumu_mfp3183.png

(b) Spectral and cumulative thermal conductivity w.r.t MFP

Force constants

../../_images/fig_fc27443.png

(a) Force constants w.r.t atomic distance

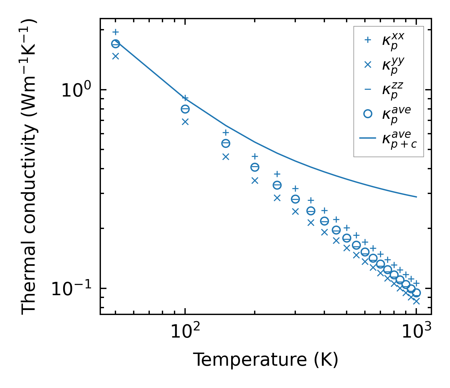
Summary

../../_images/fig_kappa6083.png

(a) Temperature-dependent lattice thermal conductivity

../../_images/fig_times13568.png

(b) Computation time