mp-559500/Na3VSO3/harm

Harmonic properties

../../_images/fig_bandos_pr7933.png

(a) Phonon dispersion with participation ratio and DOS

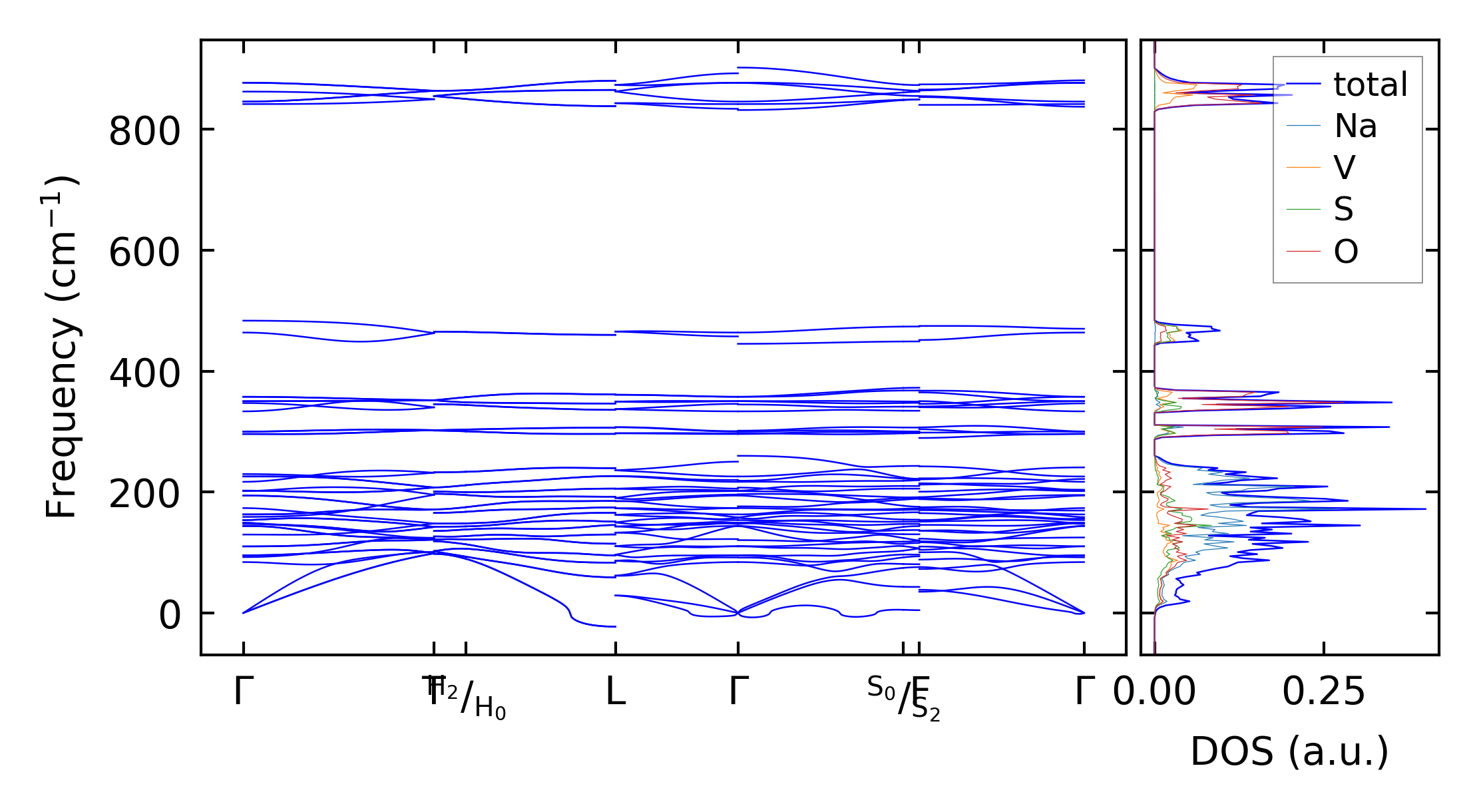
../../_images/fig_bandos11146.png

(b) Phonon dispersion and DOS

../../_images/fig_thermo7933.png

(c) Thermodynamic properties

Force constants

../../_images/fig_fc27695.png

(a) Force constants w.r.t atomic distance

Summary

../../_images/fig_times13986.png

(a) Computation time