mp-559833-2/Na2YCO3F3/anharm

Equation of state

../../_images/fig_bm3989.png

(a) Equation of state

Harmonic properties

../../_images/fig_bandos_pr7686.png

(a) Phonon dispersion with participation ratio and DOS

../../_images/fig_bandos10794.png

(b) Phonon dispersion and DOS

../../_images/fig_thermo7686.png

(c) Thermodynamic properties

Grüneisen parameters

../../_images/fig_gru_all3215.png

(a) Grüneisen parameters

../../_images/fig_gruneisen3215.png

(b) Phonon dispersion with Grüneisen parameters

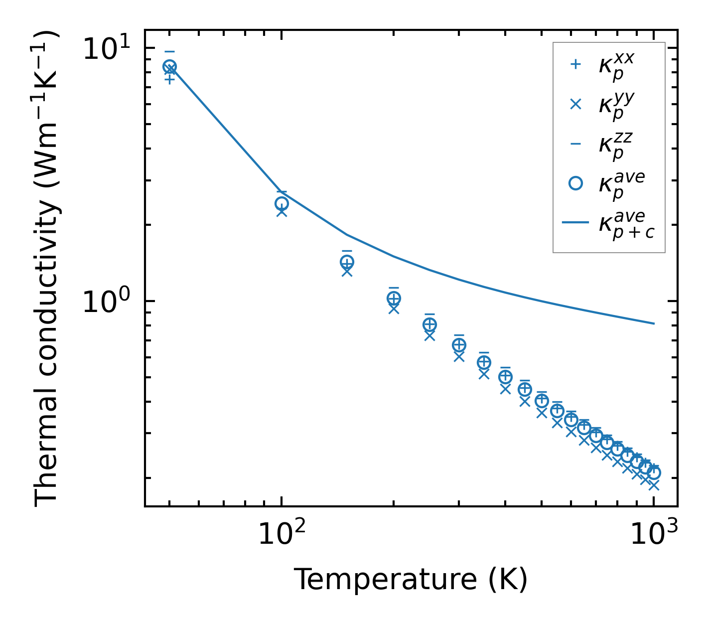
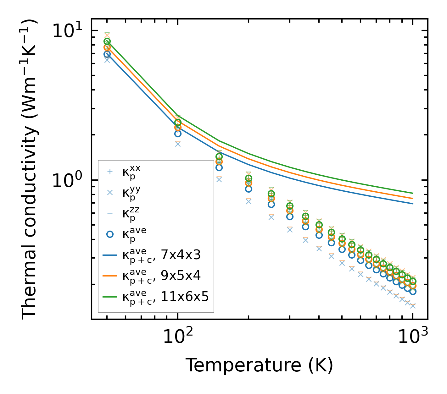
Thermal conductivity

3-phonon (LASSO) — q-mesh: 11x6x5, supercell: 1x1x1

../../_images/fig_kappa6088.png

(a) Temperature-dependent lattice thermal conductivity

../../_images/fig_kappa_vs_grain_size3256.png

(b) Peierls lattice thermal conductivity w.r.t grain size

Phonon lifetime and scattering rates

../../_images/fig_lifetime3187.png

(a) Phonon lifetime due to phonon-phonon scattering

../../_images/fig_scat_rates3186.png

(b) Phonon scattering rates

Cumulative and spectral thermal conductivity

../../_images/fig_cumu_frequency3187.png

(a) Spectral and cumulative thermal conductivity w.r.t frequency

../../_images/fig_cumu_mfp3186.png

(b) Spectral and cumulative thermal conductivity w.r.t MFP

Force constants

../../_images/fig_fc27449.png

(a) Force constants w.r.t atomic distance

Summary

../../_images/fig_kappa6089.png

(a) Temperature-dependent lattice thermal conductivity

../../_images/fig_times13577.png

(b) Computation time