mp-559847/Ag5PS4Cl2/harm

Harmonic properties

../../_images/fig_bandos_pr7689.png

(a) Phonon dispersion with participation ratio and DOS

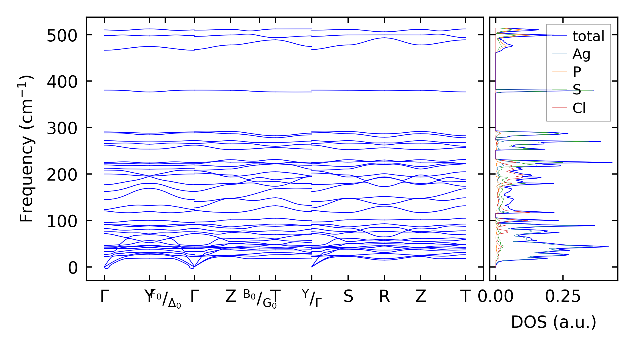
../../_images/fig_bandos10798.png

(b) Phonon dispersion and DOS

../../_images/fig_thermo7689.png

(c) Thermodynamic properties

Force constants

../../_images/fig_fc27452.png

(a) Force constants w.r.t atomic distance

Summary

../../_images/fig_times13582.png

(a) Computation time