mp-559270/RbBa4Sb3O/anharm

Harmonic properties

../../_images/fig_bandos_pr7893.png

(a) Phonon dispersion with participation ratio and DOS

../../_images/fig_thermo7893.png

(b) Thermodynamic properties

Grüneisen parameters

../../_images/fig_gru_all3270.png

(a) Grüneisen parameters

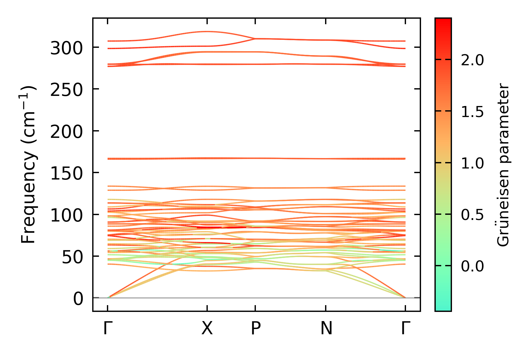
../../_images/fig_gruneisen3270.png

(b) Phonon dispersion with Grüneisen parameters

Thermal conductivity

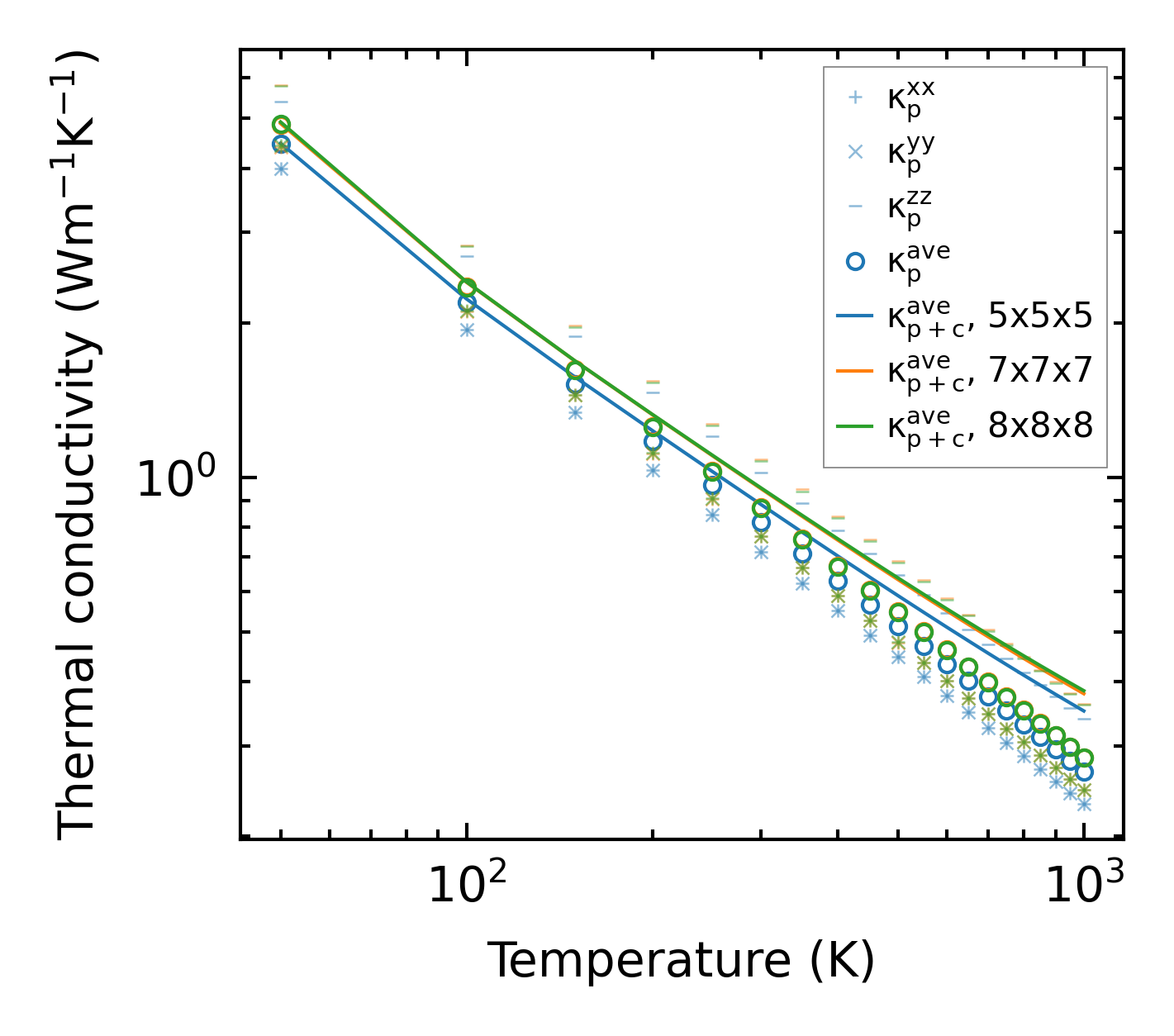
3-phonon (LASSO) — q-mesh: 8x8x8, supercell: 2x2x1

../../_images/fig_kappa6195.png

(a) Temperature-dependent lattice thermal conductivity

../../_images/fig_kappa_vs_grain_size3313.png

(b) Peierls lattice thermal conductivity w.r.t grain size

Phonon lifetime and scattering rates

../../_images/fig_lifetime3242.png

(a) Phonon lifetime due to phonon-phonon scattering

../../_images/fig_scat_rates3241.png

(b) Phonon scattering rates

Cumulative and spectral thermal conductivity

../../_images/fig_cumu_frequency3242.png

(a) Spectral and cumulative thermal conductivity w.r.t frequency

../../_images/fig_cumu_mfp3241.png

(b) Spectral and cumulative thermal conductivity w.r.t MFP

Force constants

../../_images/fig_fc27655.png

(a) Force constants w.r.t atomic distance

Summary

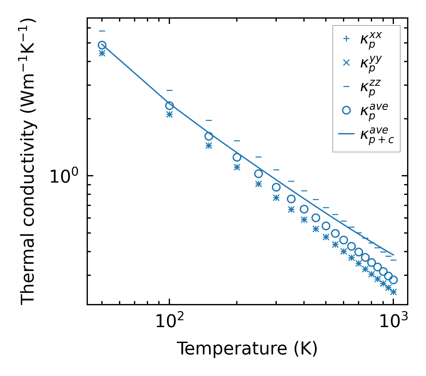
../../_images/fig_kappa6196.png

(a) Temperature-dependent lattice thermal conductivity

../../_images/fig_times13909.png

(b) Computation time