mp-559670-2/KBaYSi2O7/anharm

Equation of state

../../_images/fig_bm3978.png

(a) Equation of state

Harmonic properties

../../_images/fig_bandos_pr7652.png

(a) Phonon dispersion with participation ratio and DOS

../../_images/fig_bandos10744.png

(b) Phonon dispersion and DOS

../../_images/fig_thermo7652.png

(c) Thermodynamic properties

Grüneisen parameters

../../_images/fig_gru_all3205.png

(a) Grüneisen parameters

../../_images/fig_gruneisen3205.png

(b) Phonon dispersion with Grüneisen parameters

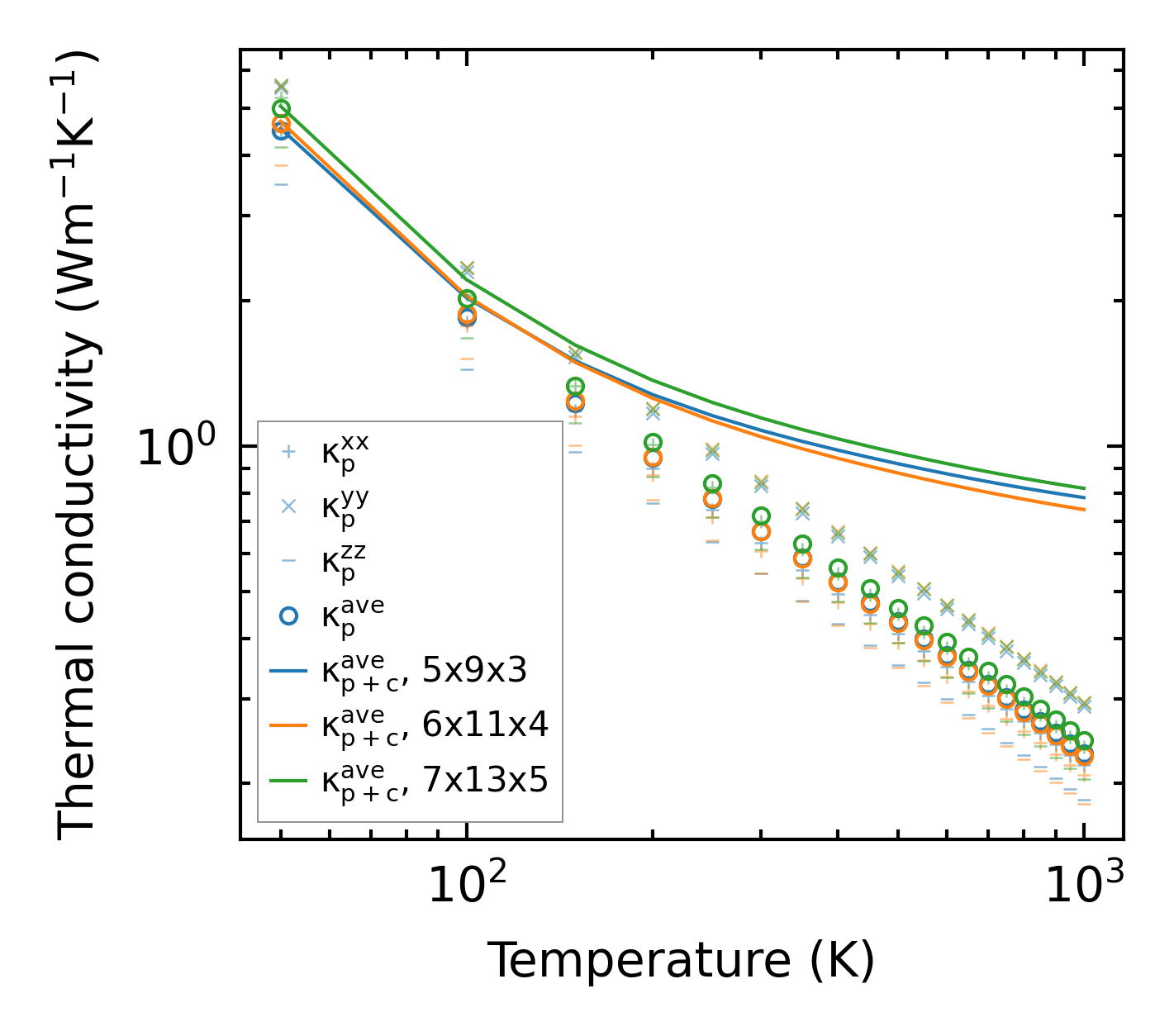
Thermal conductivity

3-phonon (LASSO) — q-mesh: 7x13x5, supercell: 1x2x1

../../_images/fig_kappa6069.png

(a) Temperature-dependent lattice thermal conductivity

../../_images/fig_kappa_vs_grain_size3246.png

(b) Peierls lattice thermal conductivity w.r.t grain size

Phonon lifetime and scattering rates

../../_images/fig_lifetime3177.png

(a) Phonon lifetime due to phonon-phonon scattering

../../_images/fig_scat_rates3176.png

(b) Phonon scattering rates

Cumulative and spectral thermal conductivity

../../_images/fig_cumu_frequency3177.png

(a) Spectral and cumulative thermal conductivity w.r.t frequency

../../_images/fig_cumu_mfp3176.png

(b) Spectral and cumulative thermal conductivity w.r.t MFP

Force constants

../../_images/fig_fc27415.png

(a) Force constants w.r.t atomic distance

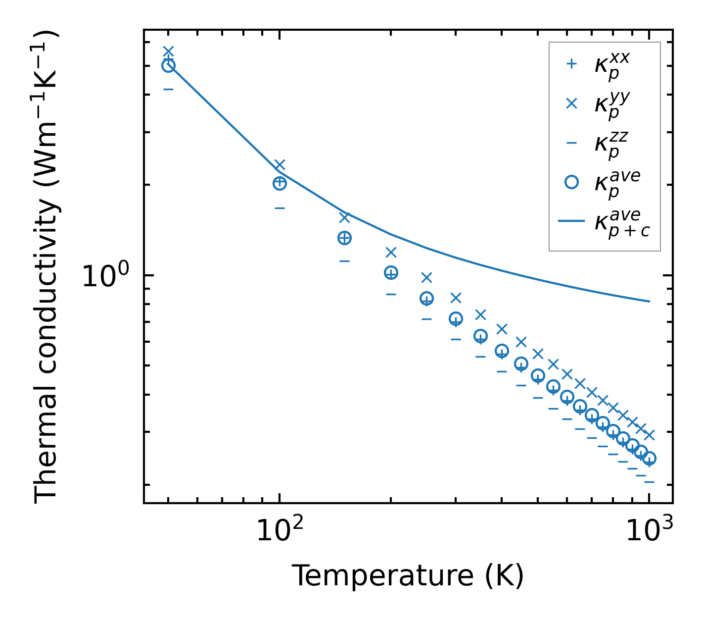
Summary

../../_images/fig_kappa6070.png

(a) Temperature-dependent lattice thermal conductivity

../../_images/fig_times13519.png

(b) Computation time