mp-559434/TbB3O6/anharm

Harmonic properties

../../_images/fig_bandos_pr7926.png

(a) Phonon dispersion with participation ratio and DOS

../../_images/fig_thermo7926.png

(b) Thermodynamic properties

Grüneisen parameters

../../_images/fig_gru_all3282.png

(a) Grüneisen parameters

../../_images/fig_gruneisen3282.png

(b) Phonon dispersion with Grüneisen parameters

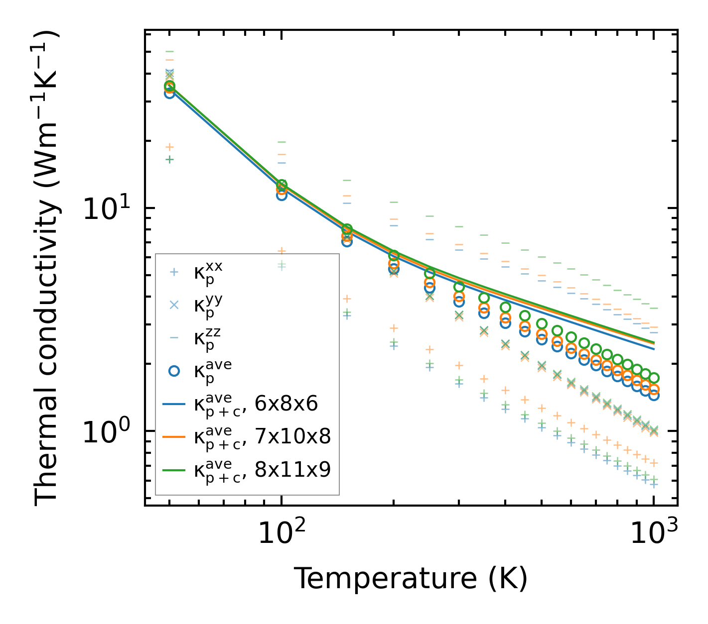
Thermal conductivity

3-phonon (LASSO) — q-mesh: 8x11x9, supercell: 1x2x1

../../_images/fig_kappa6217.png

(a) Temperature-dependent lattice thermal conductivity

../../_images/fig_kappa_vs_grain_size3325.png

(b) Peierls lattice thermal conductivity w.r.t grain size

Phonon lifetime and scattering rates

../../_images/fig_lifetime3254.png

(a) Phonon lifetime due to phonon-phonon scattering

../../_images/fig_scat_rates3253.png

(b) Phonon scattering rates

Cumulative and spectral thermal conductivity

../../_images/fig_cumu_frequency3254.png

(a) Spectral and cumulative thermal conductivity w.r.t frequency

../../_images/fig_cumu_mfp3253.png

(b) Spectral and cumulative thermal conductivity w.r.t MFP

Force constants

../../_images/fig_fc27688.png

(a) Force constants w.r.t atomic distance

Summary

../../_images/fig_kappa6218.png

(a) Temperature-dependent lattice thermal conductivity

../../_images/fig_times13972.png

(b) Computation time