mp-559642/CaZrAl9BO18/anharm

Harmonic properties

../../_images/fig_bandos_pr7645.png

(a) Phonon dispersion with participation ratio and DOS

../../_images/fig_bandos10734.png

(b) Phonon dispersion and DOS

../../_images/fig_thermo7645.png

(c) Thermodynamic properties

Grüneisen parameters

../../_images/fig_gru_all3202.png

(a) Grüneisen parameters

../../_images/fig_gruneisen3202.png

(b) Phonon dispersion with Grüneisen parameters

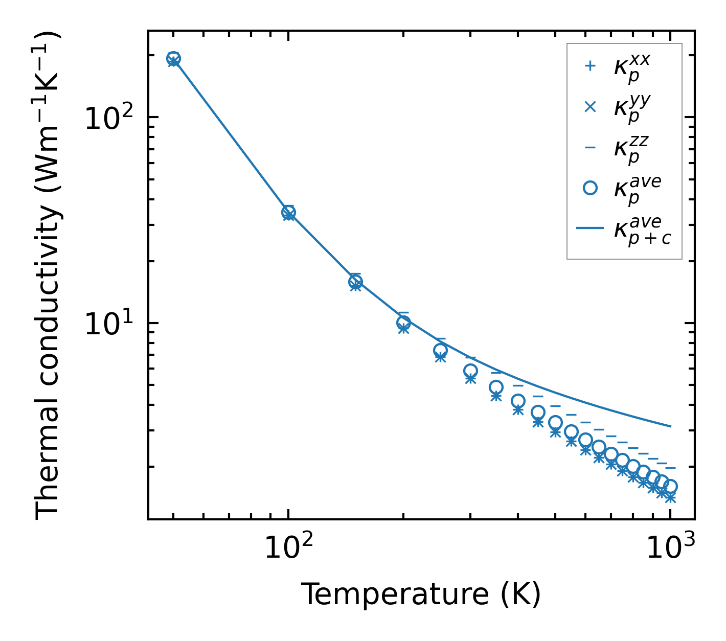
Thermal conductivity

3-phonon (LASSO) — q-mesh: 8x8x8, supercell: 1x1x2

../../_images/fig_kappa6063.png

(a) Temperature-dependent lattice thermal conductivity

../../_images/fig_kappa_vs_grain_size3243.png

(b) Peierls lattice thermal conductivity w.r.t grain size

Phonon lifetime and scattering rates

../../_images/fig_lifetime3174.png

(a) Phonon lifetime due to phonon-phonon scattering

../../_images/fig_scat_rates3173.png

(b) Phonon scattering rates

Cumulative and spectral thermal conductivity

../../_images/fig_cumu_frequency3174.png

(a) Spectral and cumulative thermal conductivity w.r.t frequency

../../_images/fig_cumu_mfp3173.png

(b) Spectral and cumulative thermal conductivity w.r.t MFP

Force constants

../../_images/fig_fc27408.png

(a) Force constants w.r.t atomic distance

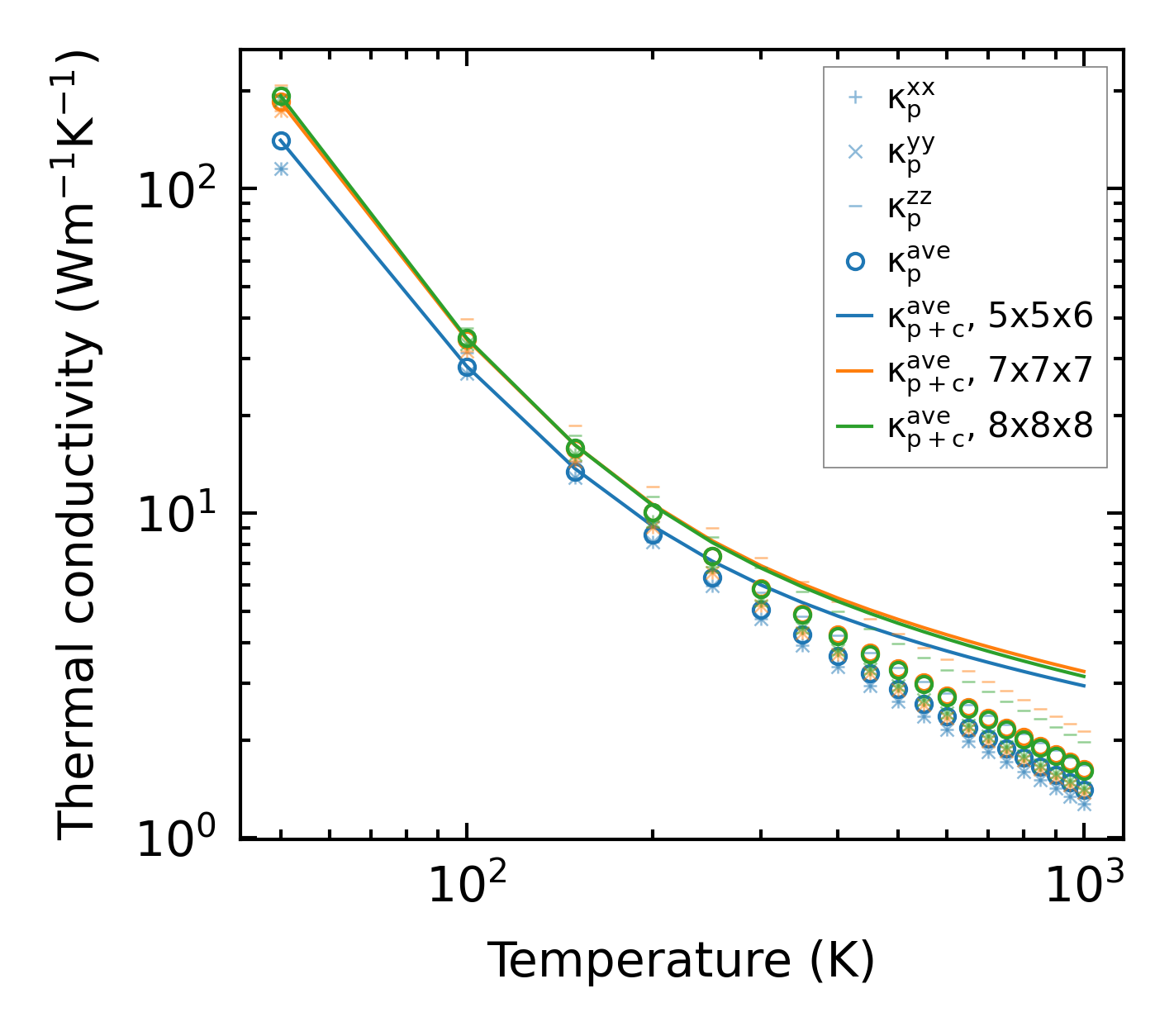
Summary

../../_images/fig_kappa6064.png

(a) Temperature-dependent lattice thermal conductivity

../../_images/fig_times13509.png

(b) Computation time