mp-559356-2/Tl3AsS3/anharm

Equation of state

../../_images/fig_bm4076.png

(a) Equation of state

Harmonic properties

../../_images/fig_bandos_pr7914.png

(a) Phonon dispersion with participation ratio and DOS

../../_images/fig_thermo7914.png

(b) Thermodynamic properties

Grüneisen parameters

../../_images/fig_gru_all3278.png

(a) Grüneisen parameters

../../_images/fig_gruneisen3278.png

(b) Phonon dispersion with Grüneisen parameters

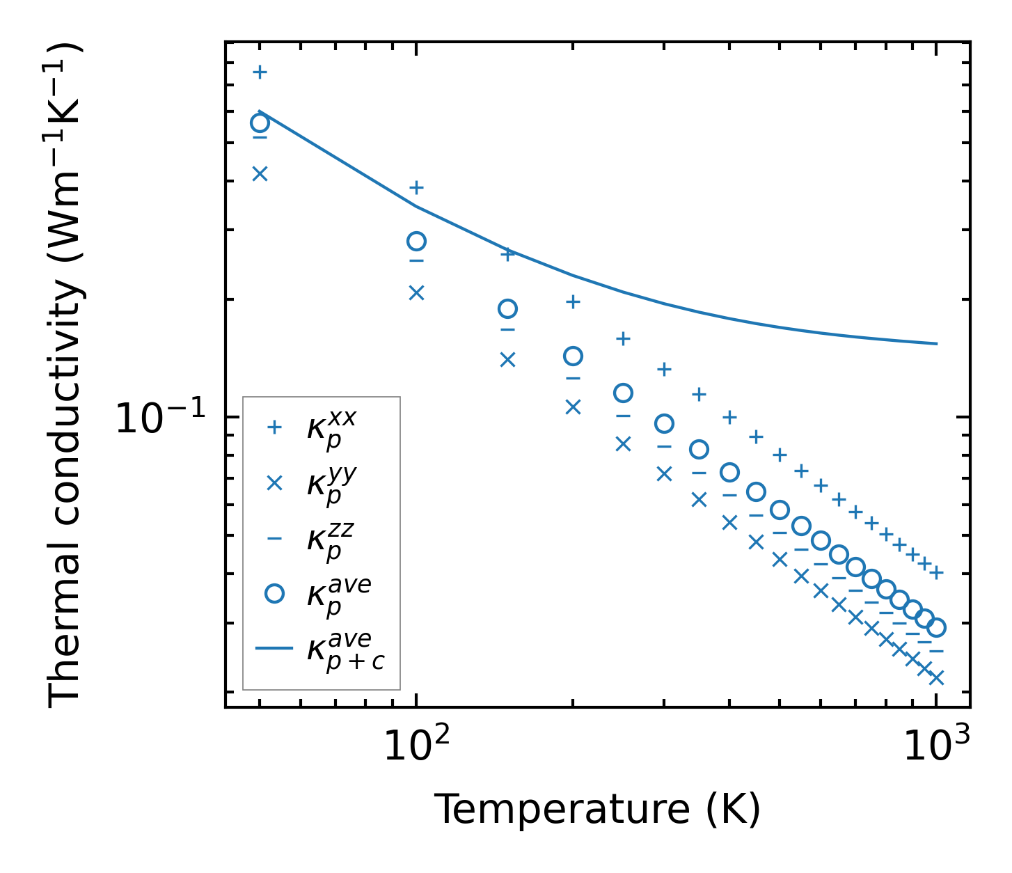
Thermal conductivity

3-phonon (LASSO) — q-mesh: 12x5x3, supercell: 2x1x1

../../_images/fig_kappa6209.png

(a) Temperature-dependent lattice thermal conductivity

../../_images/fig_kappa_vs_grain_size3321.png

(b) Peierls lattice thermal conductivity w.r.t grain size

Phonon lifetime and scattering rates

../../_images/fig_lifetime3250.png

(a) Phonon lifetime due to phonon-phonon scattering

../../_images/fig_scat_rates3249.png

(b) Phonon scattering rates

Cumulative and spectral thermal conductivity

../../_images/fig_cumu_frequency3250.png

(a) Spectral and cumulative thermal conductivity w.r.t frequency

../../_images/fig_cumu_mfp3249.png

(b) Spectral and cumulative thermal conductivity w.r.t MFP

Force constants

../../_images/fig_fc27676.png

(a) Force constants w.r.t atomic distance

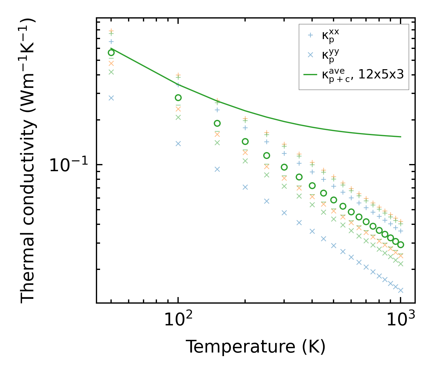
Summary

../../_images/fig_kappa6210.png

(a) Temperature-dependent lattice thermal conductivity

../../_images/fig_times13947.png

(b) Computation time