mp-559965/Sr5As3ClO12/anharm

Harmonic properties

../../_images/fig_bandos_pr7716.png

(a) Phonon dispersion with participation ratio and DOS

../../_images/fig_thermo7716.png

(b) Thermodynamic properties

Grüneisen parameters

../../_images/fig_gru_all3225.png

(a) Grüneisen parameters

../../_images/fig_gruneisen3225.png

(b) Phonon dispersion with Grüneisen parameters

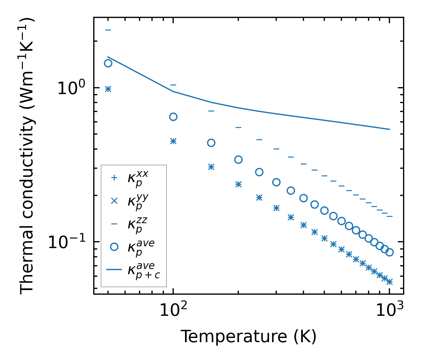
Thermal conductivity

3-phonon (LASSO) — q-mesh: 7x7x10, supercell: 1x1x2

../../_images/fig_kappa6108.png

(a) Temperature-dependent lattice thermal conductivity

../../_images/fig_kappa_vs_grain_size3267.png

(b) Peierls lattice thermal conductivity w.r.t grain size

Phonon lifetime and scattering rates

../../_images/fig_lifetime3197.png

(a) Phonon lifetime due to phonon-phonon scattering

../../_images/fig_scat_rates3196.png

(b) Phonon scattering rates

Cumulative and spectral thermal conductivity

../../_images/fig_cumu_frequency3197.png

(a) Spectral and cumulative thermal conductivity w.r.t frequency

../../_images/fig_cumu_mfp3196.png

(b) Spectral and cumulative thermal conductivity w.r.t MFP

Force constants

../../_images/fig_fc27479.png

(a) Force constants w.r.t atomic distance

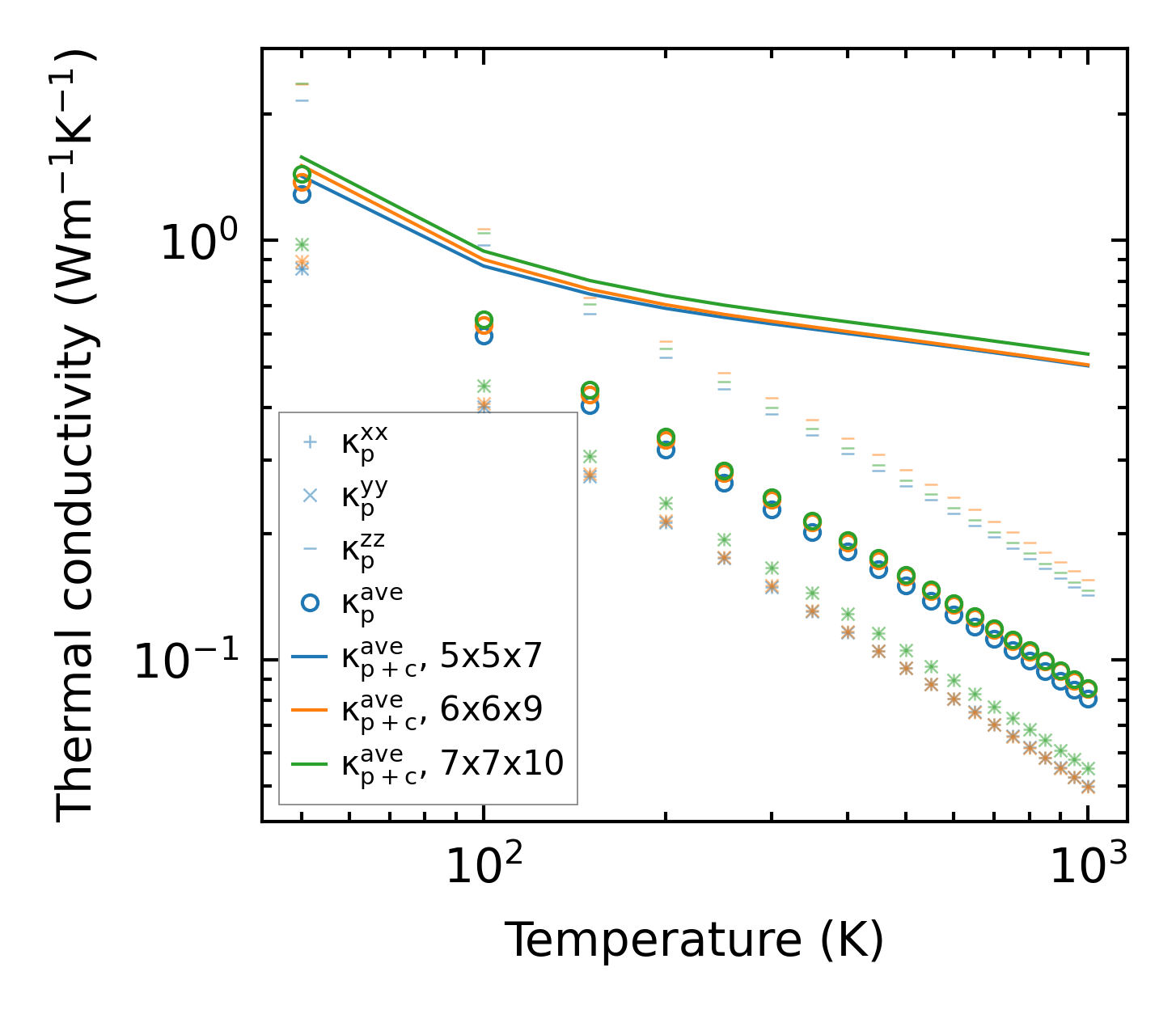
Summary

../../_images/fig_kappa6109.png

(a) Temperature-dependent lattice thermal conductivity

../../_images/fig_times13626.png

(b) Computation time