mp-559691/Ca2Al2SiO7/anharm

Harmonic properties

../../_images/fig_bandos_pr7656.png

(a) Phonon dispersion with participation ratio and DOS

../../_images/fig_thermo7656.png

(b) Thermodynamic properties

Grüneisen parameters

../../_images/fig_gru_all3206.png

(a) Grüneisen parameters

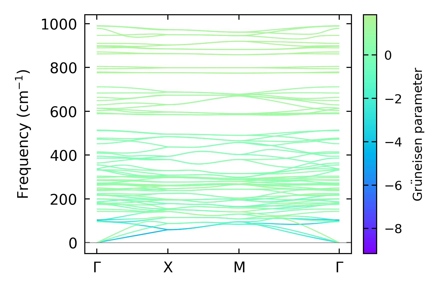
../../_images/fig_gruneisen3206.png

(b) Phonon dispersion with Grüneisen parameters

Thermal conductivity

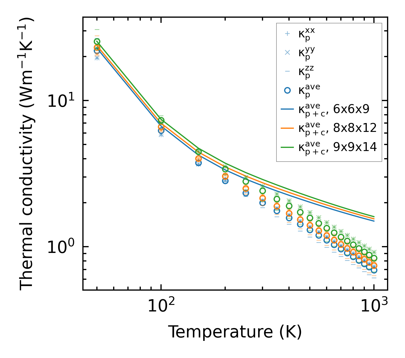
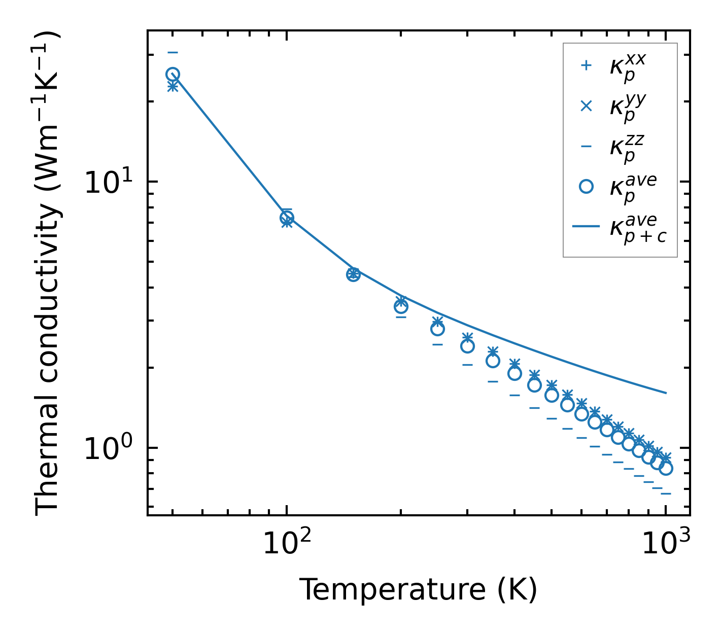
3-phonon (LASSO) — q-mesh: 9x9x14, supercell: 1x1x2

../../_images/fig_kappa6071.png

(a) Temperature-dependent lattice thermal conductivity

../../_images/fig_kappa_vs_grain_size3247.png

(b) Peierls lattice thermal conductivity w.r.t grain size

Phonon lifetime and scattering rates

../../_images/fig_lifetime3178.png

(a) Phonon lifetime due to phonon-phonon scattering

../../_images/fig_scat_rates3177.png

(b) Phonon scattering rates

Cumulative and spectral thermal conductivity

../../_images/fig_cumu_frequency3178.png

(a) Spectral and cumulative thermal conductivity w.r.t frequency

../../_images/fig_cumu_mfp3177.png

(b) Spectral and cumulative thermal conductivity w.r.t MFP

Force constants

../../_images/fig_fc27419.png

(a) Force constants w.r.t atomic distance

Summary

../../_images/fig_kappa6072.png

(a) Temperature-dependent lattice thermal conductivity

../../_images/fig_times13525.png

(b) Computation time