mp-559521/InBi2S4Cl/anharm

Harmonic properties

../../_images/fig_bandos_pr7940.png

(a) Phonon dispersion with participation ratio and DOS

../../_images/fig_thermo7940.png

(b) Thermodynamic properties

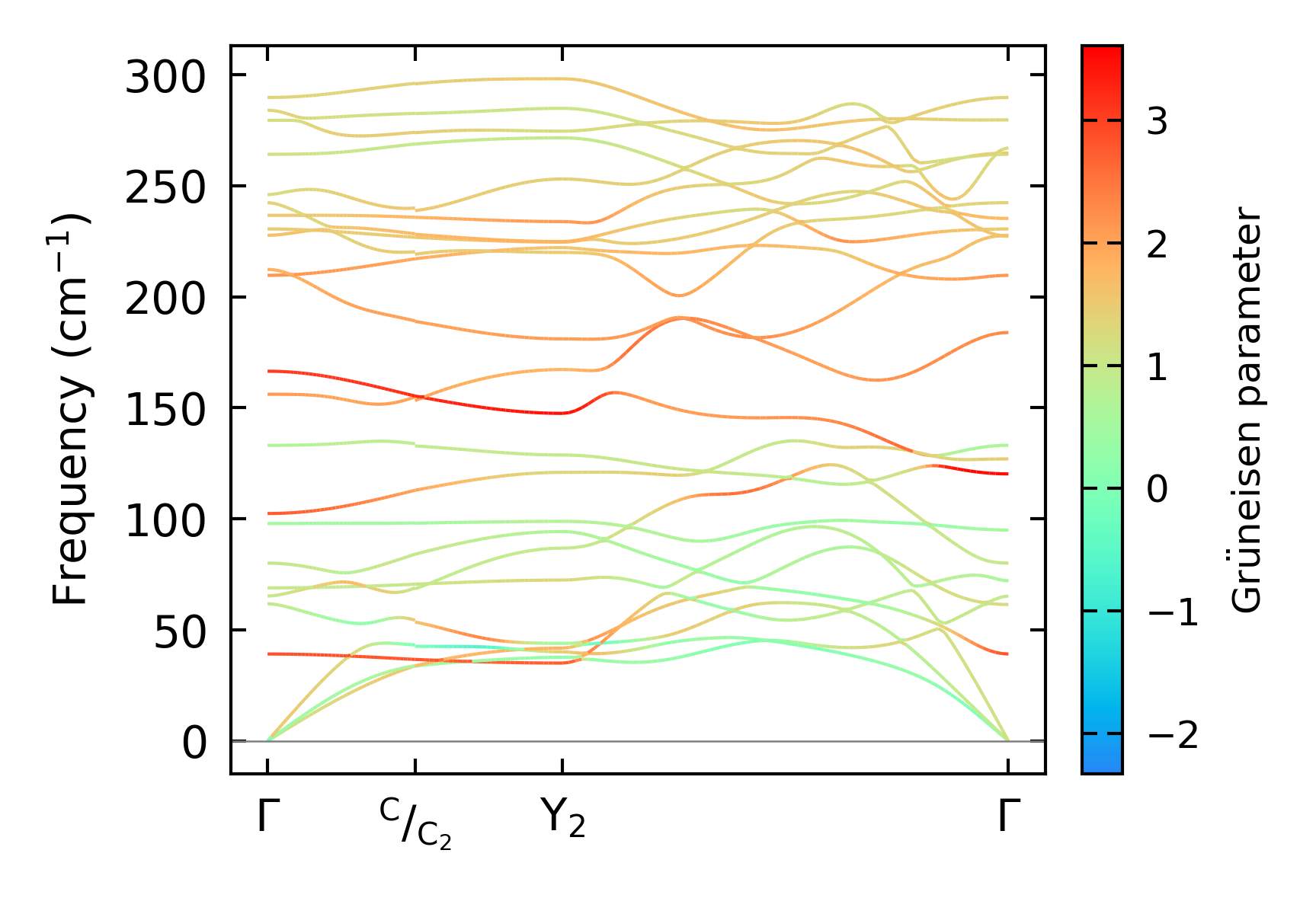
Grüneisen parameters

../../_images/fig_gru_all3285.png

(a) Grüneisen parameters

../../_images/fig_gruneisen3285.png

(b) Phonon dispersion with Grüneisen parameters

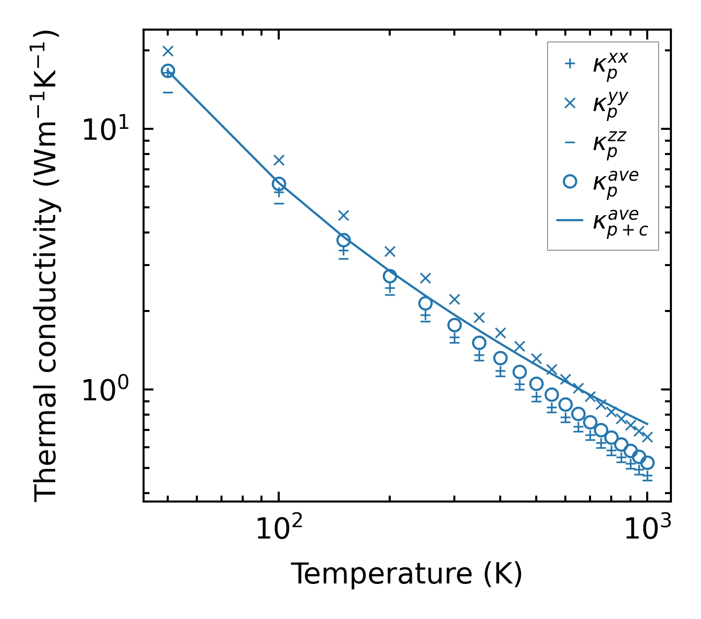
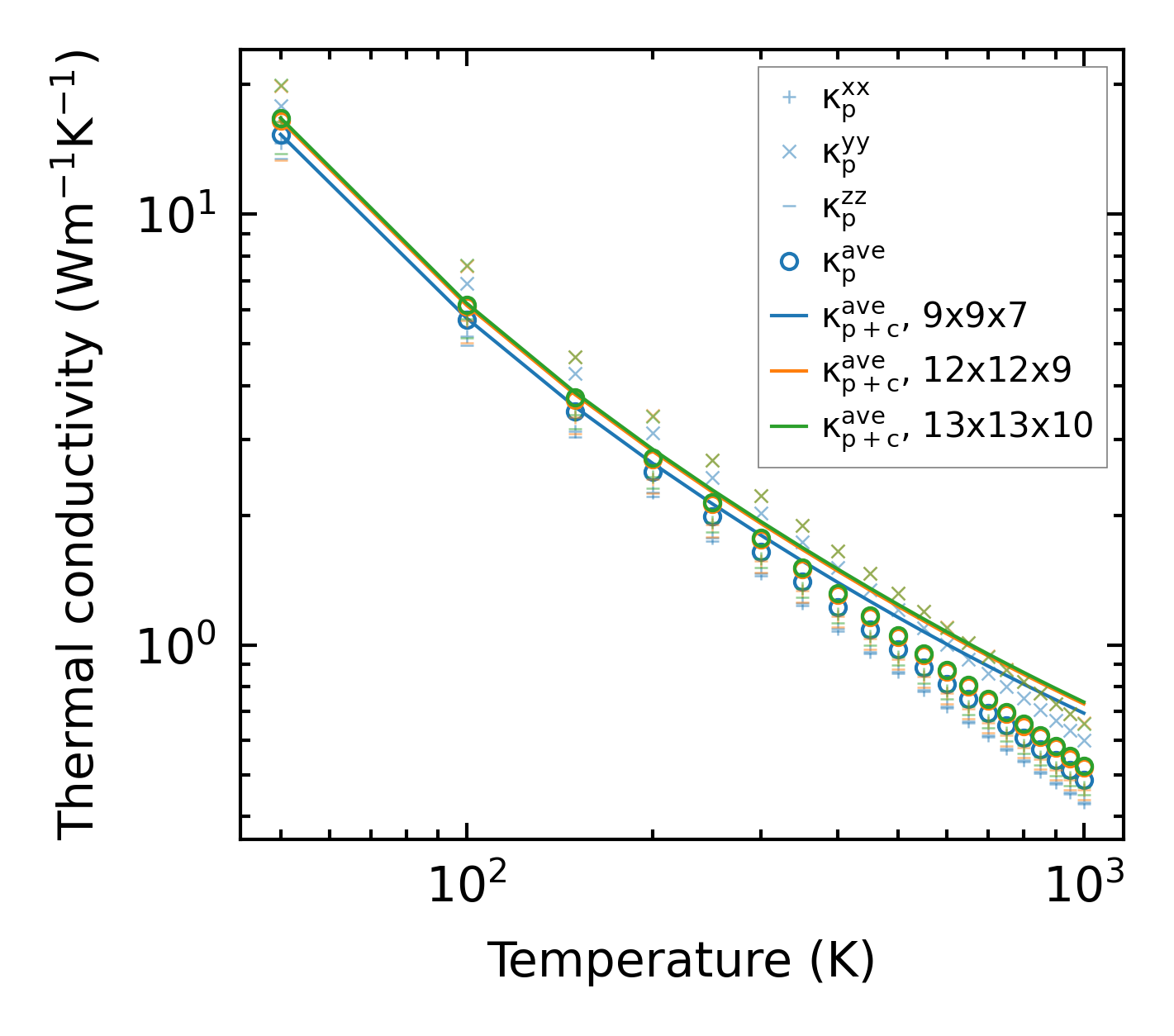
Thermal conductivity

3-phonon (LASSO) — q-mesh: 13x13x10, supercell: 1x4x2

../../_images/fig_kappa6223.png

(a) Temperature-dependent lattice thermal conductivity

../../_images/fig_kappa_vs_grain_size3328.png

(b) Peierls lattice thermal conductivity w.r.t grain size

Phonon lifetime and scattering rates

../../_images/fig_lifetime3257.png

(a) Phonon lifetime due to phonon-phonon scattering

../../_images/fig_scat_rates3256.png

(b) Phonon scattering rates

Cumulative and spectral thermal conductivity

../../_images/fig_cumu_frequency3257.png

(a) Spectral and cumulative thermal conductivity w.r.t frequency

../../_images/fig_cumu_mfp3256.png

(b) Spectral and cumulative thermal conductivity w.r.t MFP

Force constants

../../_images/fig_fc27702.png

(a) Force constants w.r.t atomic distance

Summary

../../_images/fig_kappa6224.png

(a) Temperature-dependent lattice thermal conductivity

../../_images/fig_times13995.png

(b) Computation time