mp-559871-2/AlF3/anharm

Equation of state

../../_images/fig_bm3991.png

(a) Equation of state

Harmonic properties

../../_images/fig_bandos_pr7694.png

(a) Phonon dispersion with participation ratio and DOS

../../_images/fig_thermo7694.png

(b) Thermodynamic properties

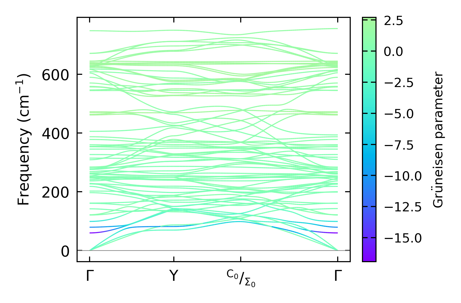
Grüneisen parameters

../../_images/fig_gru_all3217.png

(a) Grüneisen parameters

../../_images/fig_gruneisen3217.png

(b) Phonon dispersion with Grüneisen parameters

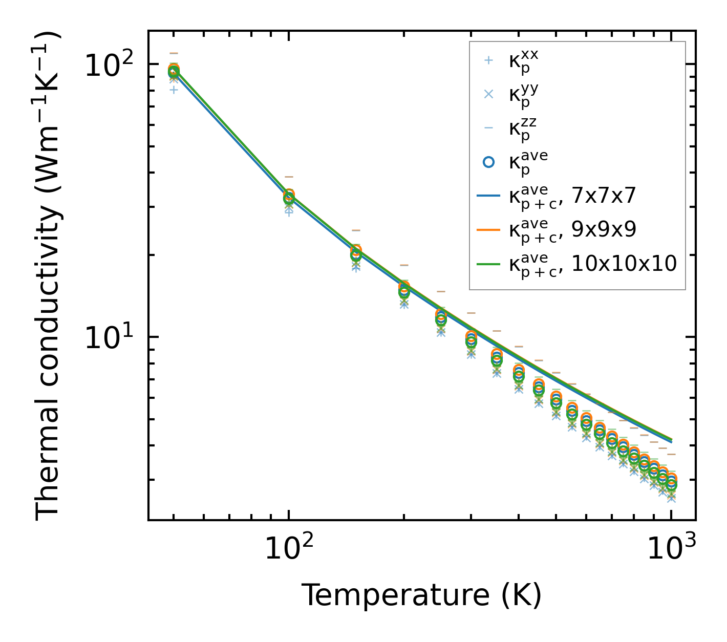
Thermal conductivity

3-phonon (LASSO) — q-mesh: 10x10x10, supercell: 2x1x1

../../_images/fig_kappa6092.png

(a) Temperature-dependent lattice thermal conductivity

../../_images/fig_kappa_vs_grain_size3258.png

(b) Peierls lattice thermal conductivity w.r.t grain size

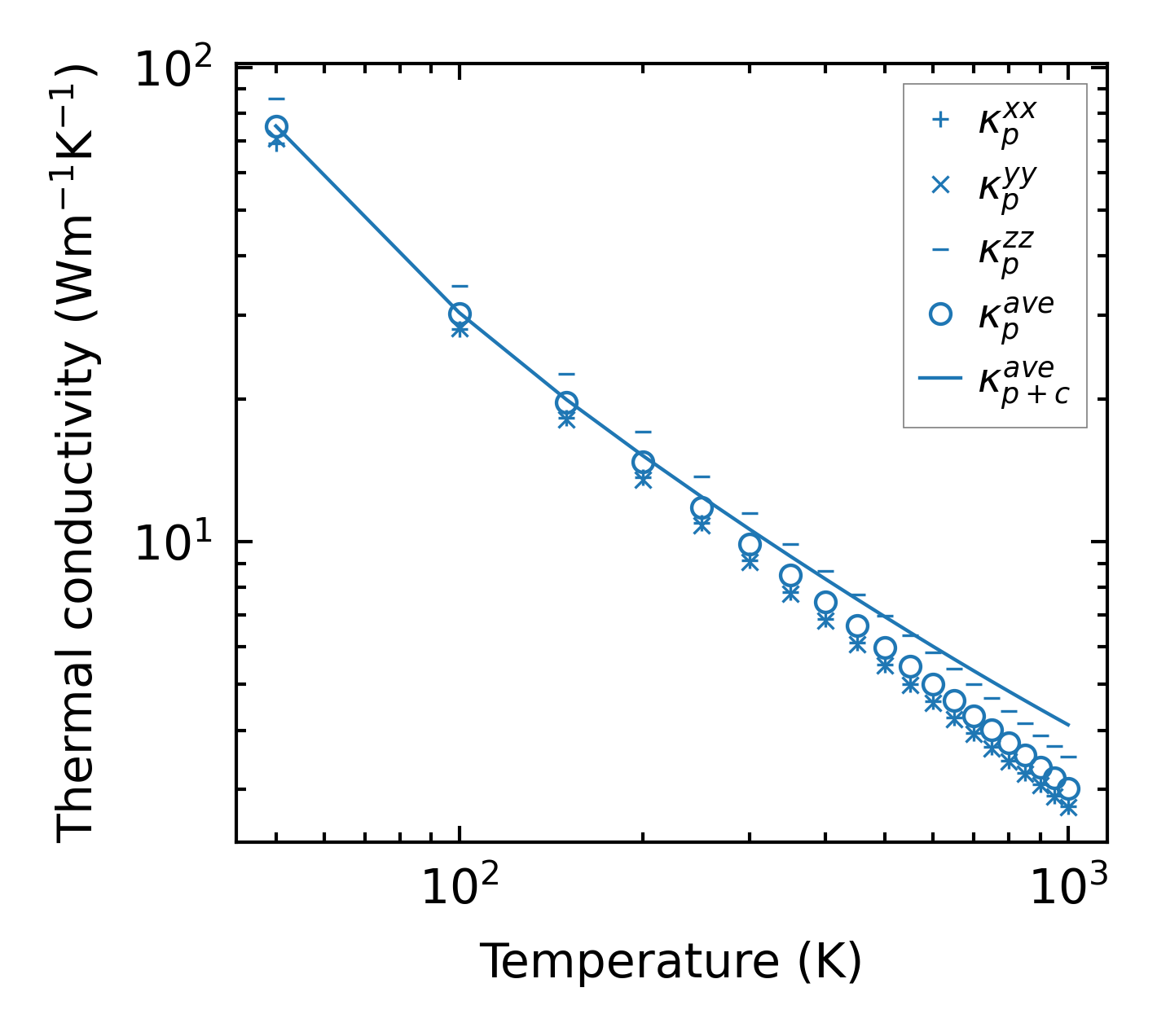
3-phonon (LASSO), supercell 2x1x2 — q-mesh: 10x10x10, supercell: 2x1x2

../../_images/fig_kappa6093.png

(a) Temperature-dependent lattice thermal conductivity

../../_images/fig_kappa_vs_grain_size3259.png

(b) Peierls lattice thermal conductivity w.r.t grain size

Phonon lifetime and scattering rates

../../_images/fig_lifetime3189.png

(a) Phonon lifetime due to phonon-phonon scattering

../../_images/fig_scat_rates3188.png

(b) Phonon scattering rates

Cumulative and spectral thermal conductivity

../../_images/fig_cumu_frequency3189.png

(a) Spectral and cumulative thermal conductivity w.r.t frequency

../../_images/fig_cumu_mfp3188.png

(b) Spectral and cumulative thermal conductivity w.r.t MFP

Force constants

../../_images/fig_fc27457.png

(a) Force constants w.r.t atomic distance

Summary

../../_images/fig_kappa6094.png

(a) Temperature-dependent lattice thermal conductivity

../../_images/fig_times13591.png

(b) Computation time