mp-559814/Li5SbS3I2/anharm

Harmonic properties

../../_images/fig_bandos_pr7681.png

(a) Phonon dispersion with participation ratio and DOS

../../_images/fig_thermo7681.png

(b) Thermodynamic properties

Grüneisen parameters

../../_images/fig_gru_all3213.png

(a) Grüneisen parameters

../../_images/fig_gruneisen3213.png

(b) Phonon dispersion with Grüneisen parameters

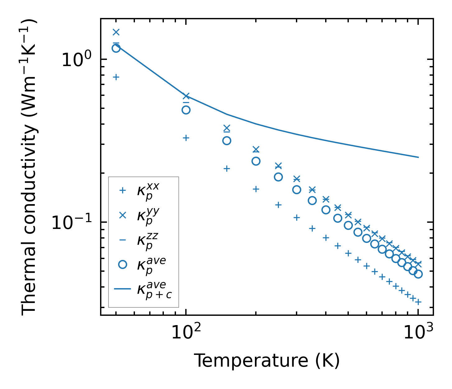
Thermal conductivity

3-phonon (LASSO) — q-mesh: 6x5x9, supercell: 1x1x2

../../_images/fig_kappa6084.png

(a) Temperature-dependent lattice thermal conductivity

../../_images/fig_kappa_vs_grain_size3254.png

(b) Peierls lattice thermal conductivity w.r.t grain size

Phonon lifetime and scattering rates

../../_images/fig_lifetime3185.png

(a) Phonon lifetime due to phonon-phonon scattering

../../_images/fig_scat_rates3184.png

(b) Phonon scattering rates

Cumulative and spectral thermal conductivity

../../_images/fig_cumu_frequency3185.png

(a) Spectral and cumulative thermal conductivity w.r.t frequency

../../_images/fig_cumu_mfp3184.png

(b) Spectral and cumulative thermal conductivity w.r.t MFP

Force constants

../../_images/fig_fc27444.png

(a) Force constants w.r.t atomic distance

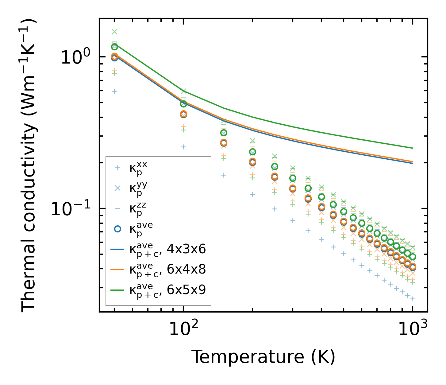
Summary

../../_images/fig_kappa6085.png

(a) Temperature-dependent lattice thermal conductivity

../../_images/fig_times13569.png

(b) Computation time