mp-559319-2/Zn2P2O7/anharm

Equation of state

../../_images/fig_bm4069.png

(a) Equation of state

Harmonic properties

../../_images/fig_bandos_pr7903.png

(a) Phonon dispersion with participation ratio and DOS

../../_images/fig_bandos11096.png

(b) Phonon dispersion and DOS

../../_images/fig_thermo7903.png

(c) Thermodynamic properties

Grüneisen parameters

../../_images/fig_gru_all3275.png

(a) Grüneisen parameters

../../_images/fig_gruneisen3275.png

(b) Phonon dispersion with Grüneisen parameters

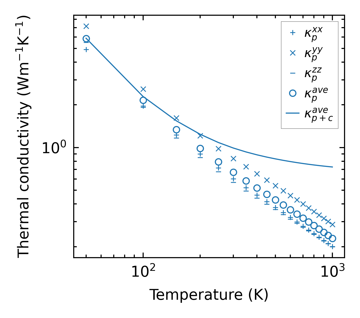
Thermal conductivity

3-phonon (LASSO), supercell 2x1x1 — q-mesh: 14x5x4, supercell: 2x1x1

../../_images/fig_kappa6205.png

(a) Temperature-dependent lattice thermal conductivity

../../_images/fig_kappa_vs_grain_size3318.png

(b) Peierls lattice thermal conductivity w.r.t grain size

Phonon lifetime and scattering rates

../../_images/fig_lifetime3247.png

(a) Phonon lifetime due to phonon-phonon scattering

../../_images/fig_scat_rates3246.png

(b) Phonon scattering rates

Cumulative and spectral thermal conductivity

../../_images/fig_cumu_frequency3247.png

(a) Spectral and cumulative thermal conductivity w.r.t frequency

../../_images/fig_cumu_mfp3246.png

(b) Spectral and cumulative thermal conductivity w.r.t MFP

Force constants

../../_images/fig_fc27665.png

(a) Force constants w.r.t atomic distance

Summary

../../_images/fig_times13928.png

(a) Computation time