mp-559670/KBaYSi2O7/anharm

Harmonic properties

../../_images/fig_bandos_pr7651.png

(a) Phonon dispersion with participation ratio and DOS

../../_images/fig_bandos10743.png

(b) Phonon dispersion and DOS

../../_images/fig_thermo7651.png

(c) Thermodynamic properties

Grüneisen parameters

../../_images/fig_gru_all3204.png

(a) Grüneisen parameters

../../_images/fig_gruneisen3204.png

(b) Phonon dispersion with Grüneisen parameters

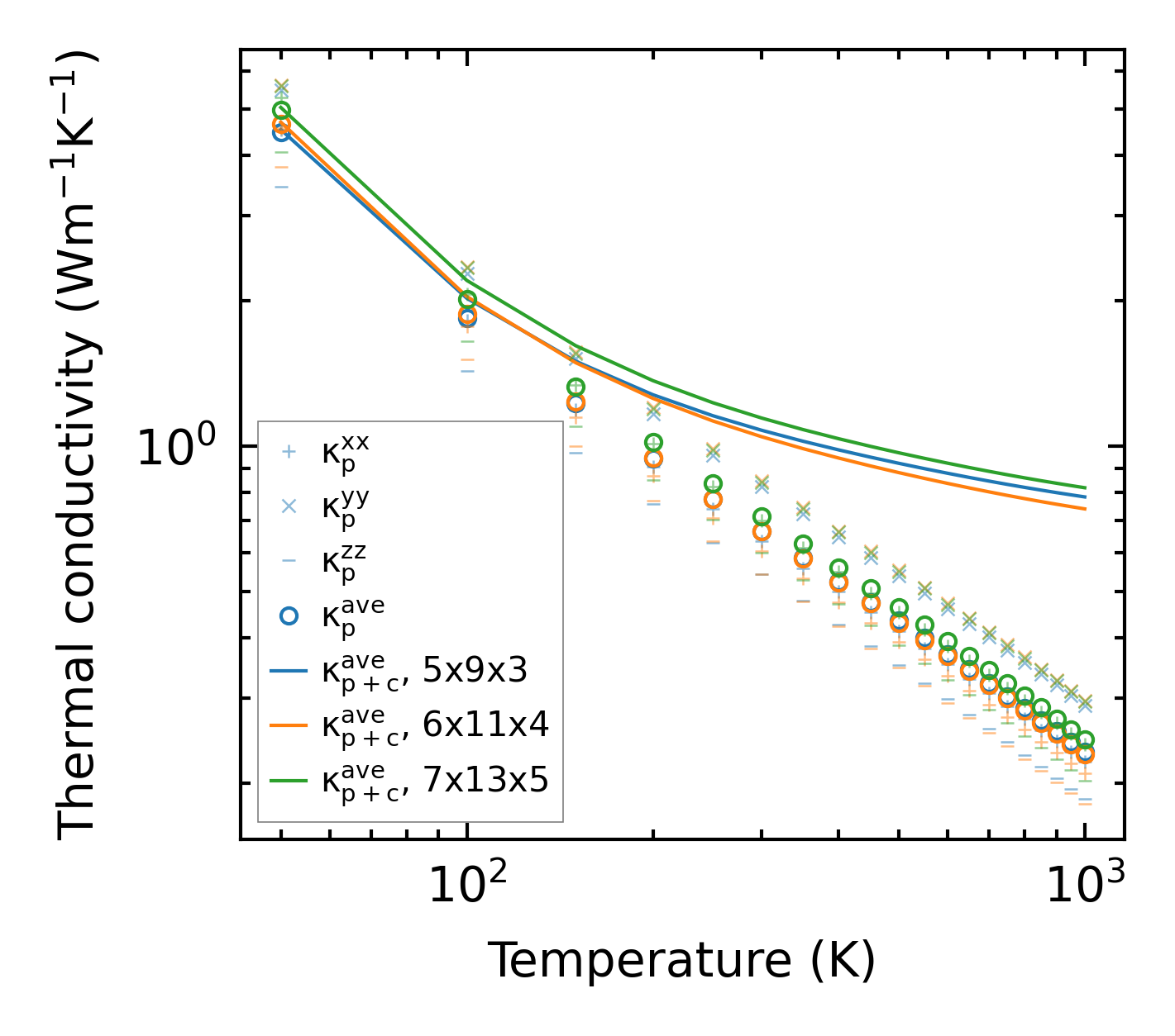
Thermal conductivity

3-phonon (LASSO) — q-mesh: 7x13x5, supercell: 1x2x1

../../_images/fig_kappa6067.png

(a) Temperature-dependent lattice thermal conductivity

../../_images/fig_kappa_vs_grain_size3245.png

(b) Peierls lattice thermal conductivity w.r.t grain size

Phonon lifetime and scattering rates

../../_images/fig_lifetime3176.png

(a) Phonon lifetime due to phonon-phonon scattering

../../_images/fig_scat_rates3175.png

(b) Phonon scattering rates

Cumulative and spectral thermal conductivity

../../_images/fig_cumu_frequency3176.png

(a) Spectral and cumulative thermal conductivity w.r.t frequency

../../_images/fig_cumu_mfp3175.png

(b) Spectral and cumulative thermal conductivity w.r.t MFP

Force constants

../../_images/fig_fc27414.png

(a) Force constants w.r.t atomic distance

Summary

../../_images/fig_kappa6068.png

(a) Temperature-dependent lattice thermal conductivity

../../_images/fig_times13518.png

(b) Computation time