mp-559004/ErMoClO4/harm

Harmonic properties

../../_images/fig_bandos_pr7835.png

(a) Phonon dispersion with participation ratio and DOS

../../_images/fig_bandos10996.png

(b) Phonon dispersion and DOS

../../_images/fig_thermo7835.png

(c) Thermodynamic properties

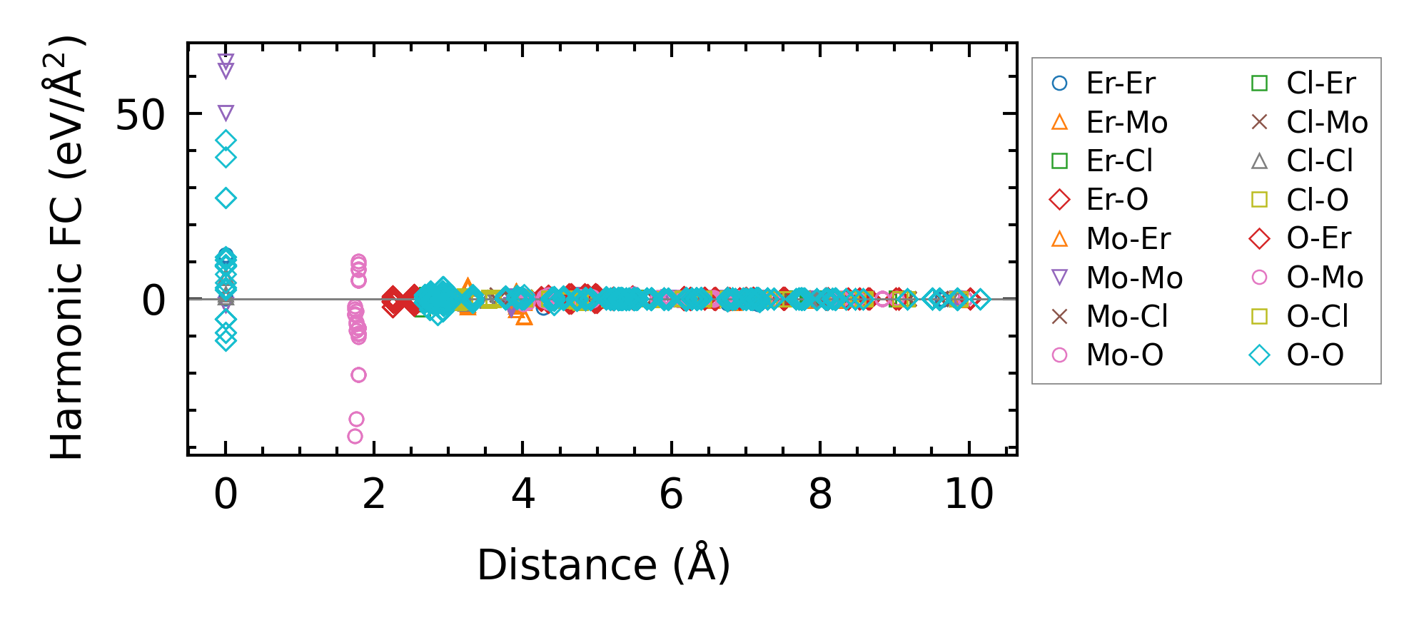
Force constants

../../_images/fig_fc27598.png

(a) Force constants w.r.t atomic distance

Summary

../../_images/fig_times13815.png

(a) Computation time