mp-559171/Ba3Ho2P4S16/anharm

Harmonic properties

../../_images/fig_bandos_pr7873.png

(a) Phonon dispersion with participation ratio and DOS

../../_images/fig_thermo7873.png

(b) Thermodynamic properties

Grüneisen parameters

../../_images/fig_gru_all3265.png

(a) Grüneisen parameters

../../_images/fig_gruneisen3265.png

(b) Phonon dispersion with Grüneisen parameters

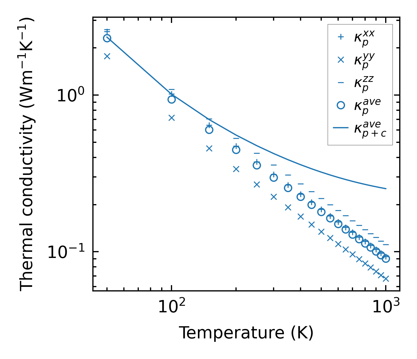
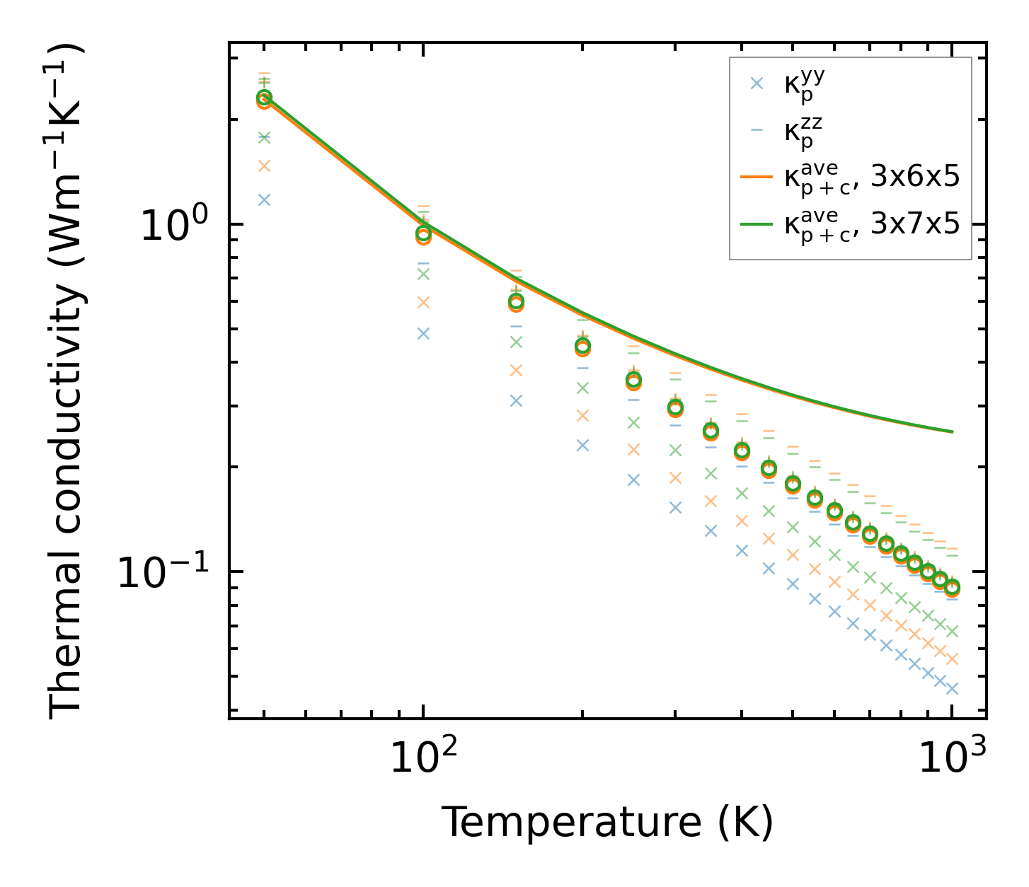
Thermal conductivity

3-phonon (LASSO) — q-mesh: 3x7x5, supercell: 1x1x1

../../_images/fig_kappa6185.png

(a) Temperature-dependent lattice thermal conductivity

../../_images/fig_kappa_vs_grain_size3307.png

(b) Peierls lattice thermal conductivity w.r.t grain size

Phonon lifetime and scattering rates

../../_images/fig_lifetime3237.png

(a) Phonon lifetime due to phonon-phonon scattering

../../_images/fig_scat_rates3236.png

(b) Phonon scattering rates

Cumulative and spectral thermal conductivity

../../_images/fig_cumu_frequency3237.png

(a) Spectral and cumulative thermal conductivity w.r.t frequency

../../_images/fig_cumu_mfp3236.png

(b) Spectral and cumulative thermal conductivity w.r.t MFP

Force constants

../../_images/fig_fc27636.png

(a) Force constants w.r.t atomic distance

Summary

../../_images/fig_kappa6186.png

(a) Temperature-dependent lattice thermal conductivity

../../_images/fig_times13875.png

(b) Computation time