mp-559337-2/Nd7S6Cl9/anharm

Equation of state

../../_images/fig_bm4072.png

(a) Equation of state

Harmonic properties

../../_images/fig_bandos_pr7907.png

(a) Phonon dispersion with participation ratio and DOS

../../_images/fig_bandos11105.png

(b) Phonon dispersion and DOS

../../_images/fig_thermo7907.png

(c) Thermodynamic properties

Grüneisen parameters

../../_images/fig_gru_all3276.png

(a) Grüneisen parameters

../../_images/fig_gruneisen3276.png

(b) Phonon dispersion with Grüneisen parameters

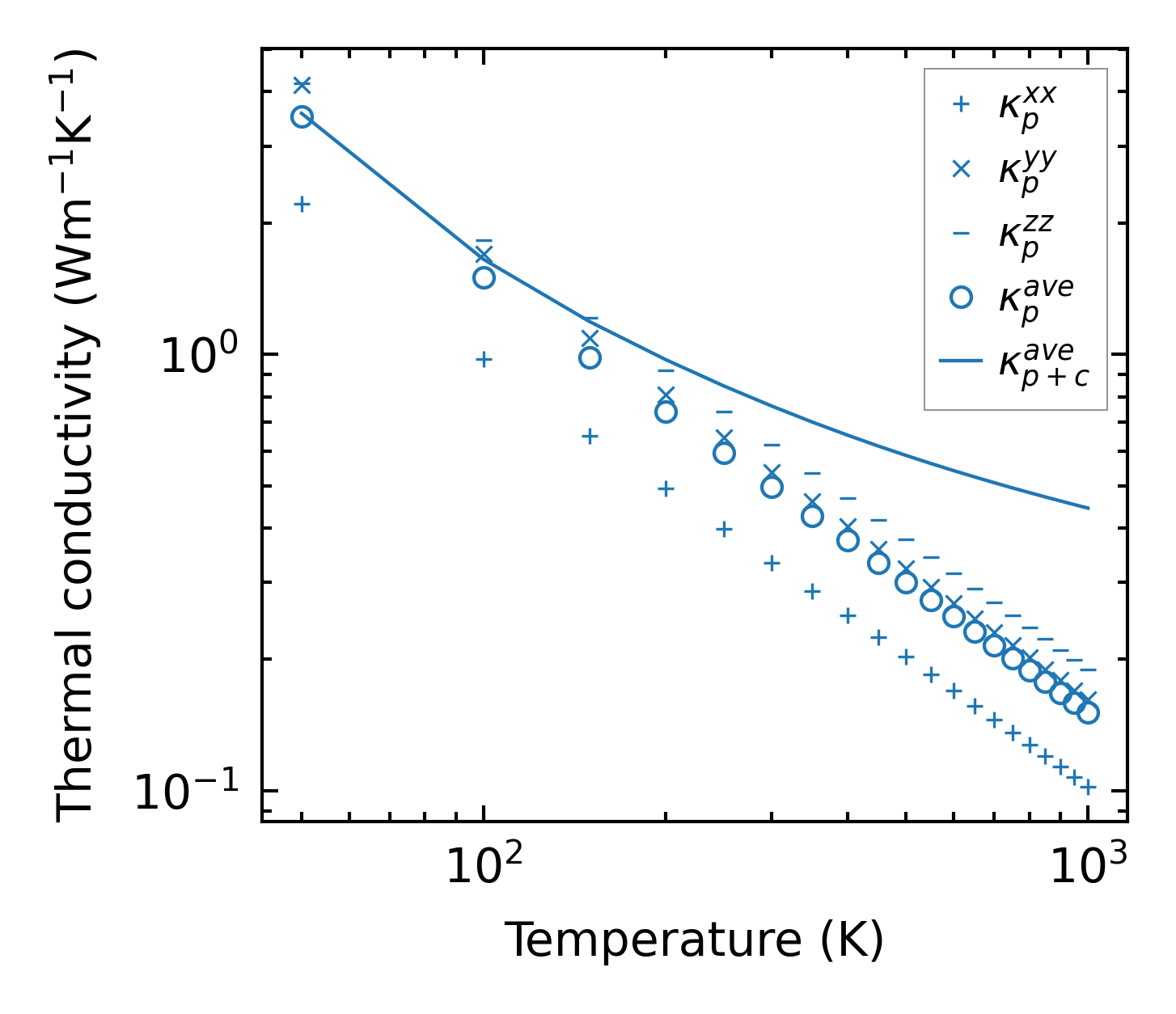
Thermal conductivity

3-phonon (LASSO), supercell 1x2x2 — q-mesh: 2x10x10, supercell: 1x2x2

../../_images/fig_kappa6206.png

(a) Temperature-dependent lattice thermal conductivity

../../_images/fig_kappa_vs_grain_size3319.png

(b) Peierls lattice thermal conductivity w.r.t grain size

Phonon lifetime and scattering rates

../../_images/fig_lifetime3248.png

(a) Phonon lifetime due to phonon-phonon scattering

../../_images/fig_scat_rates3247.png

(b) Phonon scattering rates

Cumulative and spectral thermal conductivity

../../_images/fig_cumu_frequency3248.png

(a) Spectral and cumulative thermal conductivity w.r.t frequency

../../_images/fig_cumu_mfp3247.png

(b) Spectral and cumulative thermal conductivity w.r.t MFP

Force constants

../../_images/fig_fc27669.png

(a) Force constants w.r.t atomic distance

Summary

../../_images/fig_times13937.png

(a) Computation time