mp-559186-2/BaBiBO4/anharm

Equation of state

../../_images/fig_bm4059.png

(a) Equation of state

Harmonic properties

../../_images/fig_bandos_pr7877.png

(a) Phonon dispersion with participation ratio and DOS

../../_images/fig_thermo7877.png

(b) Thermodynamic properties

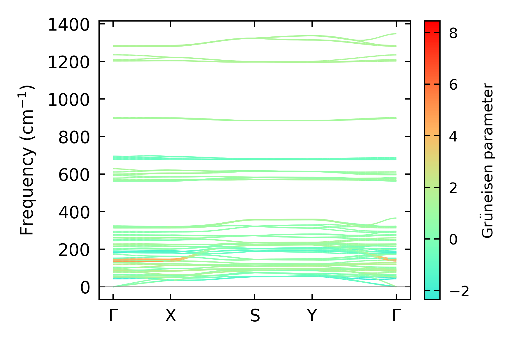
Grüneisen parameters

../../_images/fig_gru_all3266.png

(a) Grüneisen parameters

../../_images/fig_gruneisen3266.png

(b) Phonon dispersion with Grüneisen parameters

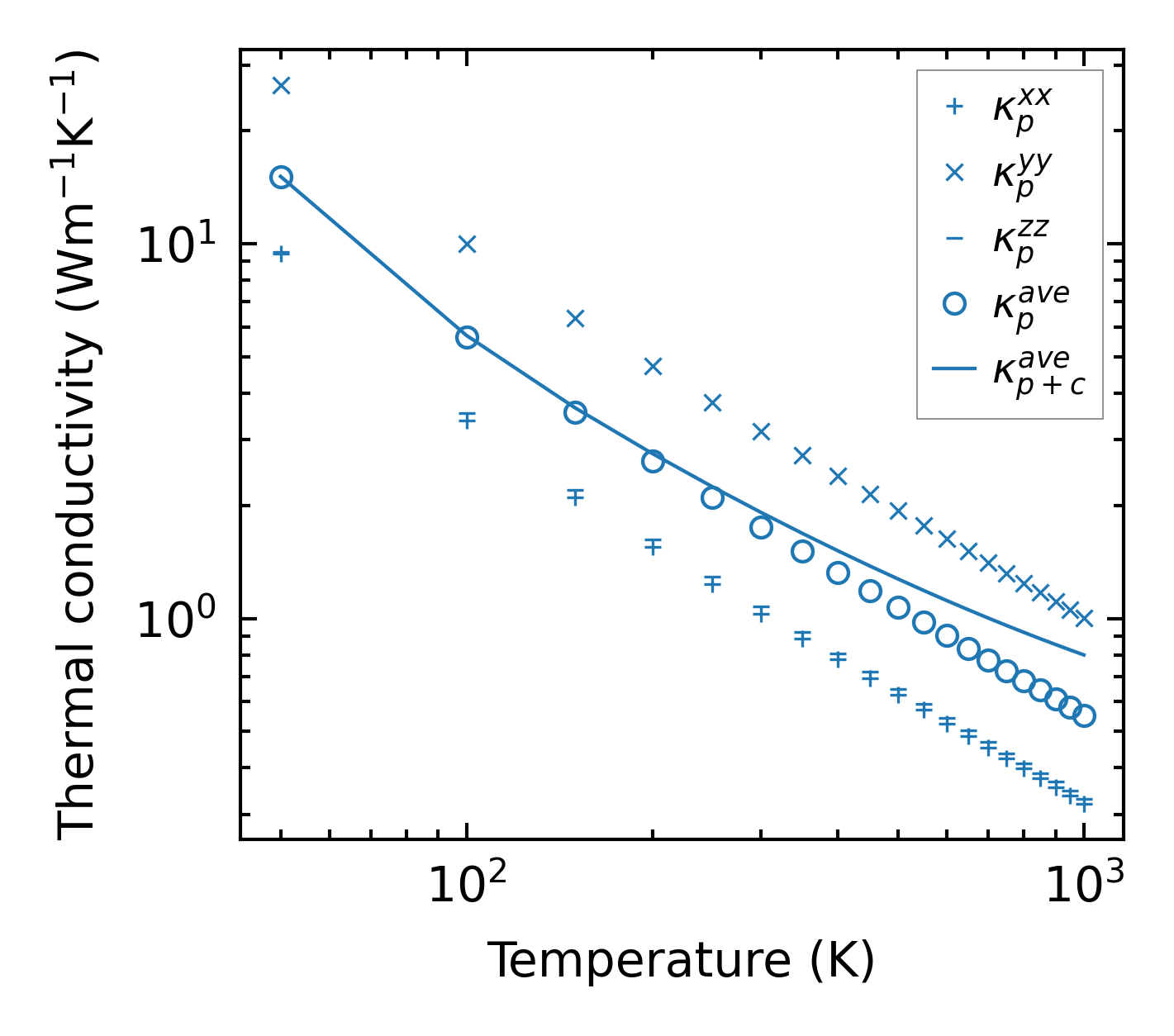
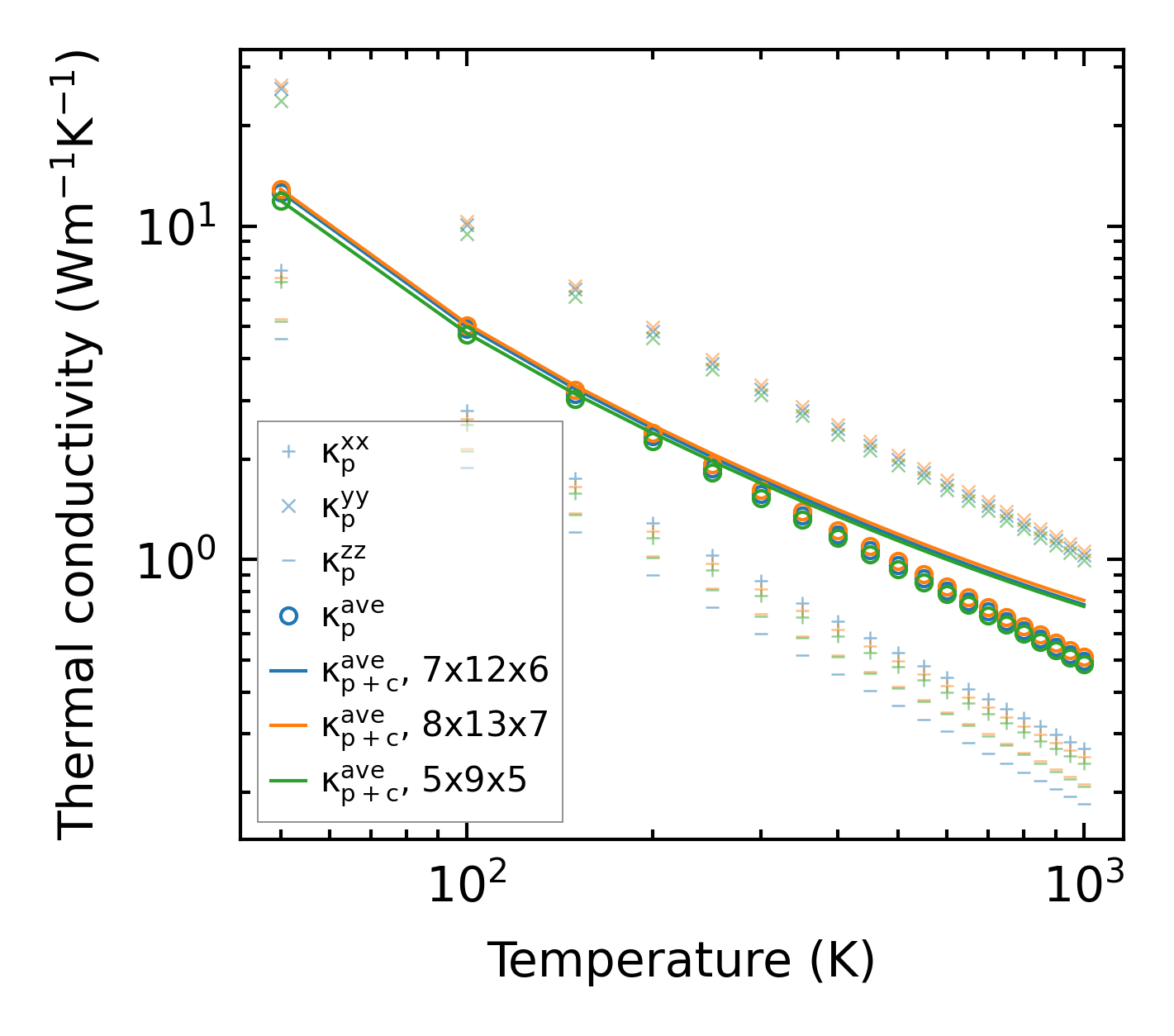
Thermal conductivity

3-phonon (LASSO) — q-mesh: 8x13x7, supercell: 2x2x1

../../_images/fig_kappa6187.png

(a) Temperature-dependent lattice thermal conductivity

../../_images/fig_kappa_vs_grain_size3308.png

(b) Peierls lattice thermal conductivity w.r.t grain size

3-phonon (LASSO), supercell 2x2x2 — q-mesh: 8x13x7, supercell: 2x2x2

../../_images/fig_kappa6188.png

(a) Temperature-dependent lattice thermal conductivity

../../_images/fig_kappa_vs_grain_size3309.png

(b) Peierls lattice thermal conductivity w.r.t grain size

Phonon lifetime and scattering rates

../../_images/fig_lifetime3238.png

(a) Phonon lifetime due to phonon-phonon scattering

../../_images/fig_scat_rates3237.png

(b) Phonon scattering rates

Cumulative and spectral thermal conductivity

../../_images/fig_cumu_frequency3238.png

(a) Spectral and cumulative thermal conductivity w.r.t frequency

../../_images/fig_cumu_mfp3237.png

(b) Spectral and cumulative thermal conductivity w.r.t MFP

Force constants

../../_images/fig_fc27640.png

(a) Force constants w.r.t atomic distance

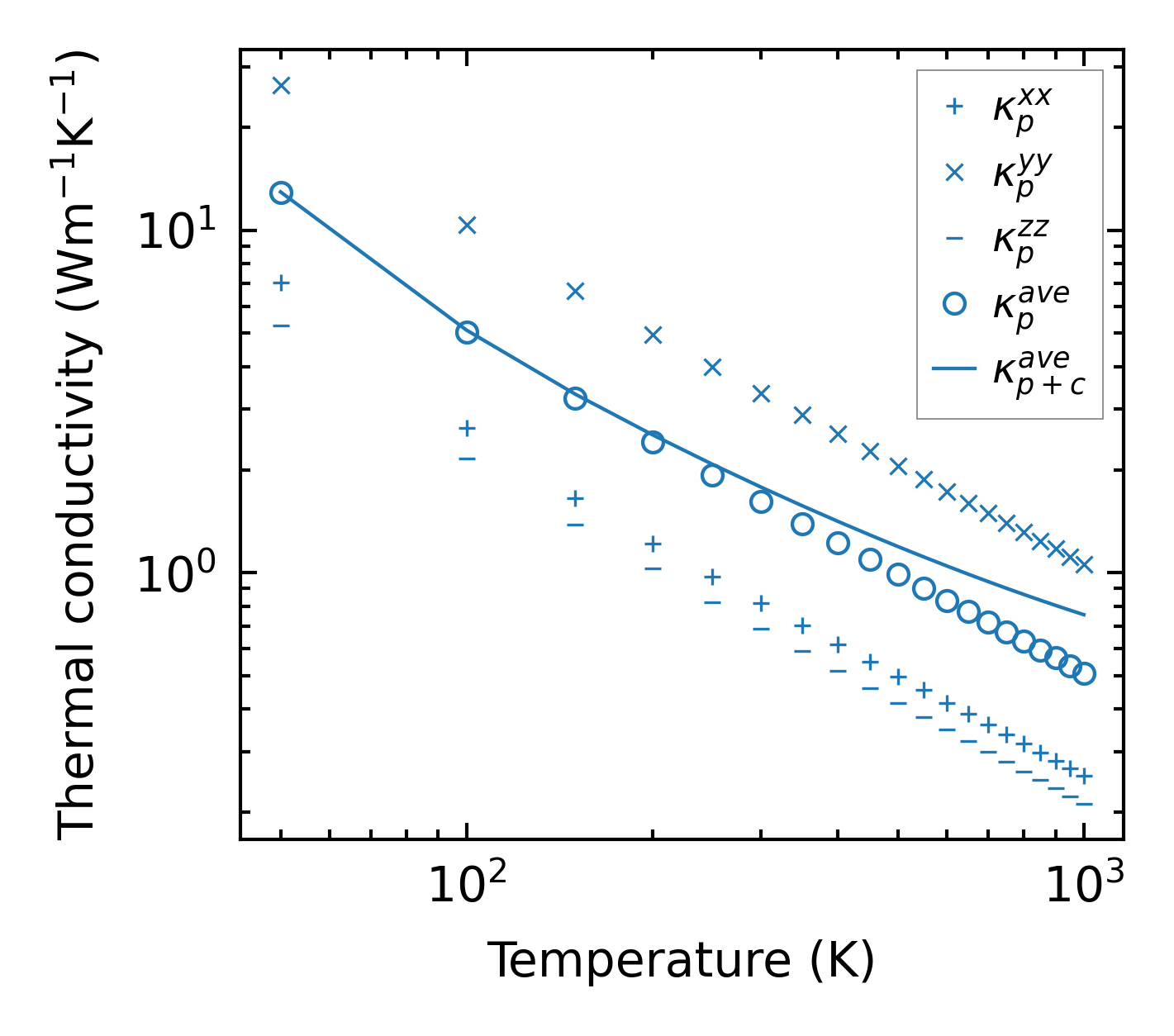
Summary

../../_images/fig_kappa6189.png

(a) Temperature-dependent lattice thermal conductivity

../../_images/fig_times13881.png

(b) Computation time