mp-559969-2/CaLaGaO4/anharm

Equation of state

../../_images/fig_bm3998.png

(a) Equation of state

Harmonic properties

../../_images/fig_bandos_pr7720.png

(a) Phonon dispersion with participation ratio and DOS

../../_images/fig_bandos10838.png

(b) Phonon dispersion and DOS

../../_images/fig_thermo7720.png

(c) Thermodynamic properties

Grüneisen parameters

../../_images/fig_gru_all3227.png

(a) Grüneisen parameters

../../_images/fig_gruneisen3227.png

(b) Phonon dispersion with Grüneisen parameters

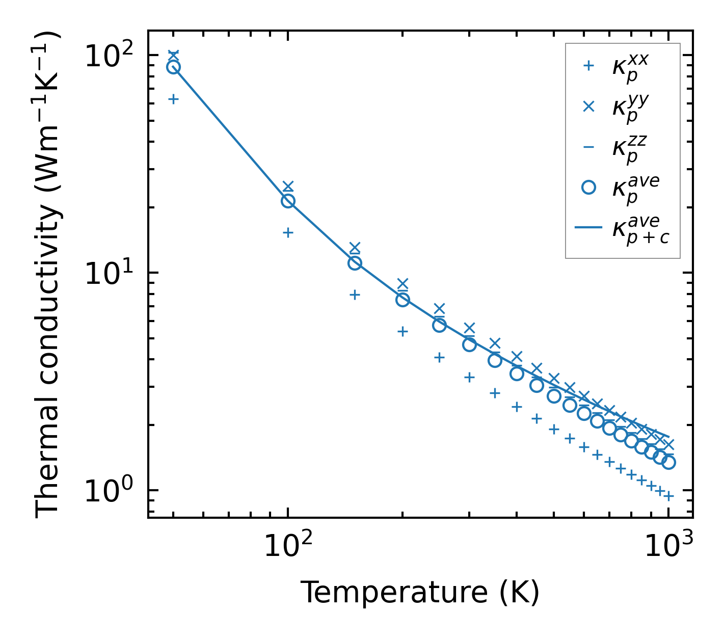
Thermal conductivity

3-phonon (LASSO) — q-mesh: 6x10x13, supercell: 1x2x2

../../_images/fig_kappa6112.png

(a) Temperature-dependent lattice thermal conductivity

../../_images/fig_kappa_vs_grain_size3269.png

(b) Peierls lattice thermal conductivity w.r.t grain size

Phonon lifetime and scattering rates

../../_images/fig_lifetime3199.png

(a) Phonon lifetime due to phonon-phonon scattering

../../_images/fig_scat_rates3198.png

(b) Phonon scattering rates

Cumulative and spectral thermal conductivity

../../_images/fig_cumu_frequency3199.png

(a) Spectral and cumulative thermal conductivity w.r.t frequency

../../_images/fig_cumu_mfp3198.png

(b) Spectral and cumulative thermal conductivity w.r.t MFP

Force constants

../../_images/fig_fc27483.png

(a) Force constants w.r.t atomic distance

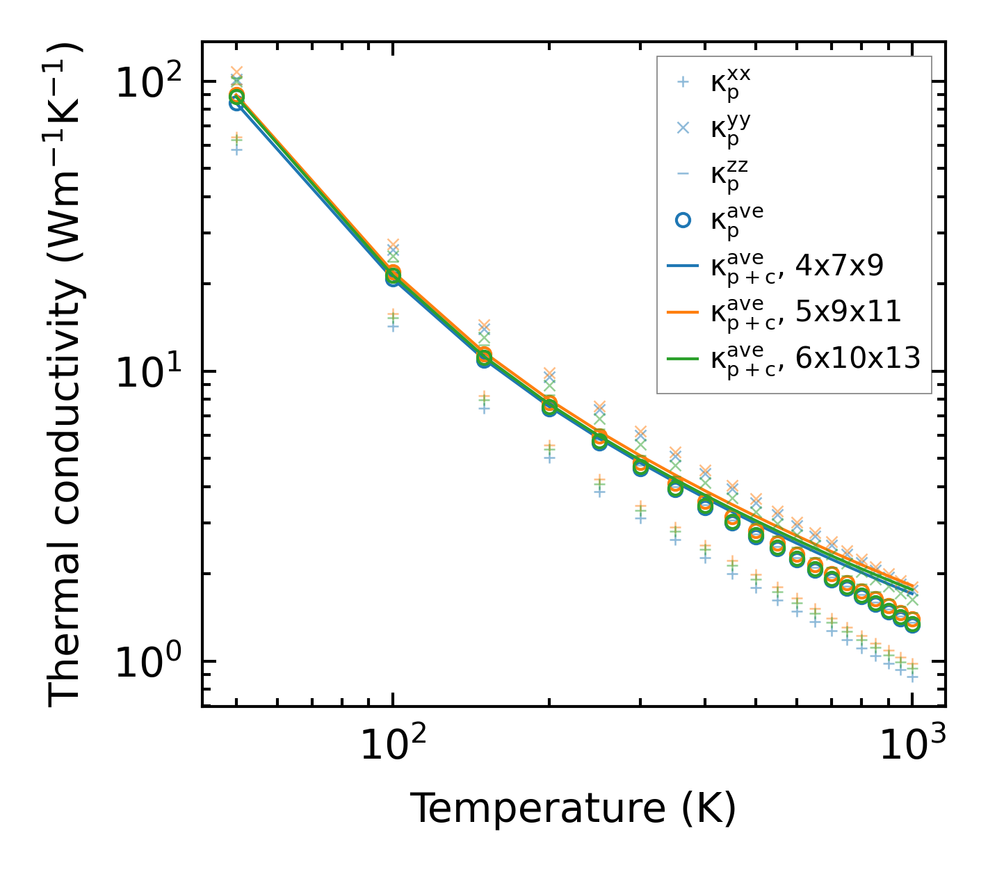
Summary

../../_images/fig_kappa6113.png

(a) Temperature-dependent lattice thermal conductivity

../../_images/fig_times13630.png

(b) Computation time