mp-559617/HfB2O5/anharm

Harmonic properties

../../_images/fig_bandos_pr7641.png

(a) Phonon dispersion with participation ratio and DOS

../../_images/fig_thermo7641.png

(b) Thermodynamic properties

Grüneisen parameters

../../_images/fig_gru_all3200.png

(a) Grüneisen parameters

../../_images/fig_gruneisen3200.png

(b) Phonon dispersion with Grüneisen parameters

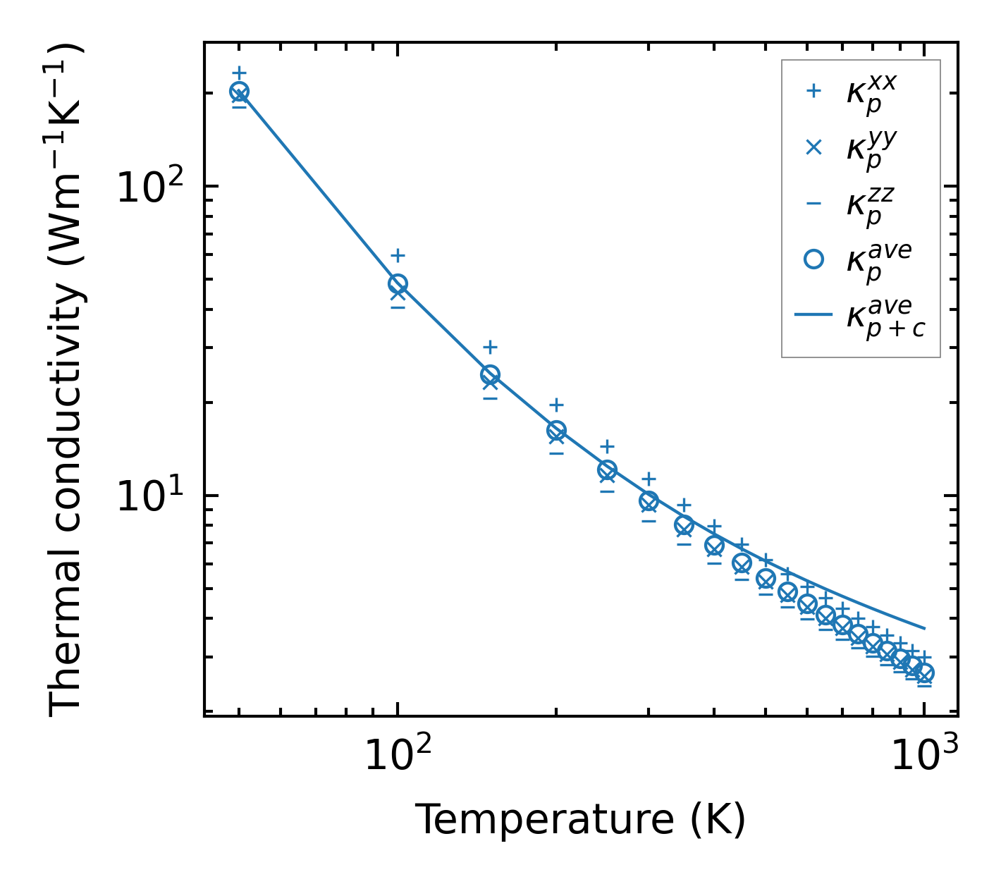
Thermal conductivity

3-phonon (LASSO) — q-mesh: 16x10x8, supercell: 2x2x1

../../_images/fig_kappa6059.png

(a) Temperature-dependent lattice thermal conductivity

../../_images/fig_kappa_vs_grain_size3241.png

(b) Peierls lattice thermal conductivity w.r.t grain size

Phonon lifetime and scattering rates

../../_images/fig_lifetime3172.png

(a) Phonon lifetime due to phonon-phonon scattering

../../_images/fig_scat_rates3171.png

(b) Phonon scattering rates

Cumulative and spectral thermal conductivity

../../_images/fig_cumu_frequency3172.png

(a) Spectral and cumulative thermal conductivity w.r.t frequency

../../_images/fig_cumu_mfp3171.png

(b) Spectral and cumulative thermal conductivity w.r.t MFP

Force constants

../../_images/fig_fc27404.png

(a) Force constants w.r.t atomic distance

Summary

../../_images/fig_kappa6060.png

(a) Temperature-dependent lattice thermal conductivity

../../_images/fig_times13503.png

(b) Computation time