mp-16989/K5SnAs3/anharm

Harmonic properties

../../_images/fig_bandos_pr14145.png

(a) Phonon dispersion with participation ratio and DOS

../../_images/fig_thermo14145.png

(b) Thermodynamic properties

Grüneisen parameters

../../_images/fig_gru_all6008.png

(a) Grüneisen parameters

../../_images/fig_gruneisen6008.png

(b) Phonon dispersion with Grüneisen parameters

Thermal conductivity

3-phonon (LASSO) — q-mesh: 8x9x4, supercell: 2x2x1

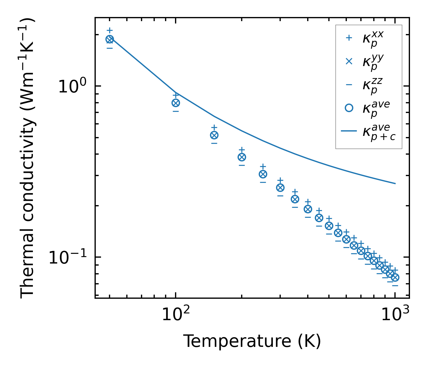
../../_images/fig_kappa11311.png

(a) Temperature-dependent lattice thermal conductivity

../../_images/fig_kappa_vs_grain_size6087.png

(b) Peierls lattice thermal conductivity w.r.t grain size

Phonon lifetime and scattering rates

../../_images/fig_lifetime5951.png

(a) Phonon lifetime due to phonon-phonon scattering

../../_images/fig_scat_rates5950.png

(b) Phonon scattering rates

Cumulative and spectral thermal conductivity

../../_images/fig_cumu_frequency5951.png

(a) Spectral and cumulative thermal conductivity w.r.t frequency

../../_images/fig_cumu_mfp5950.png

(b) Spectral and cumulative thermal conductivity w.r.t MFP

Force constants

../../_images/fig_fc213773.png

(a) Force constants w.r.t atomic distance

Summary

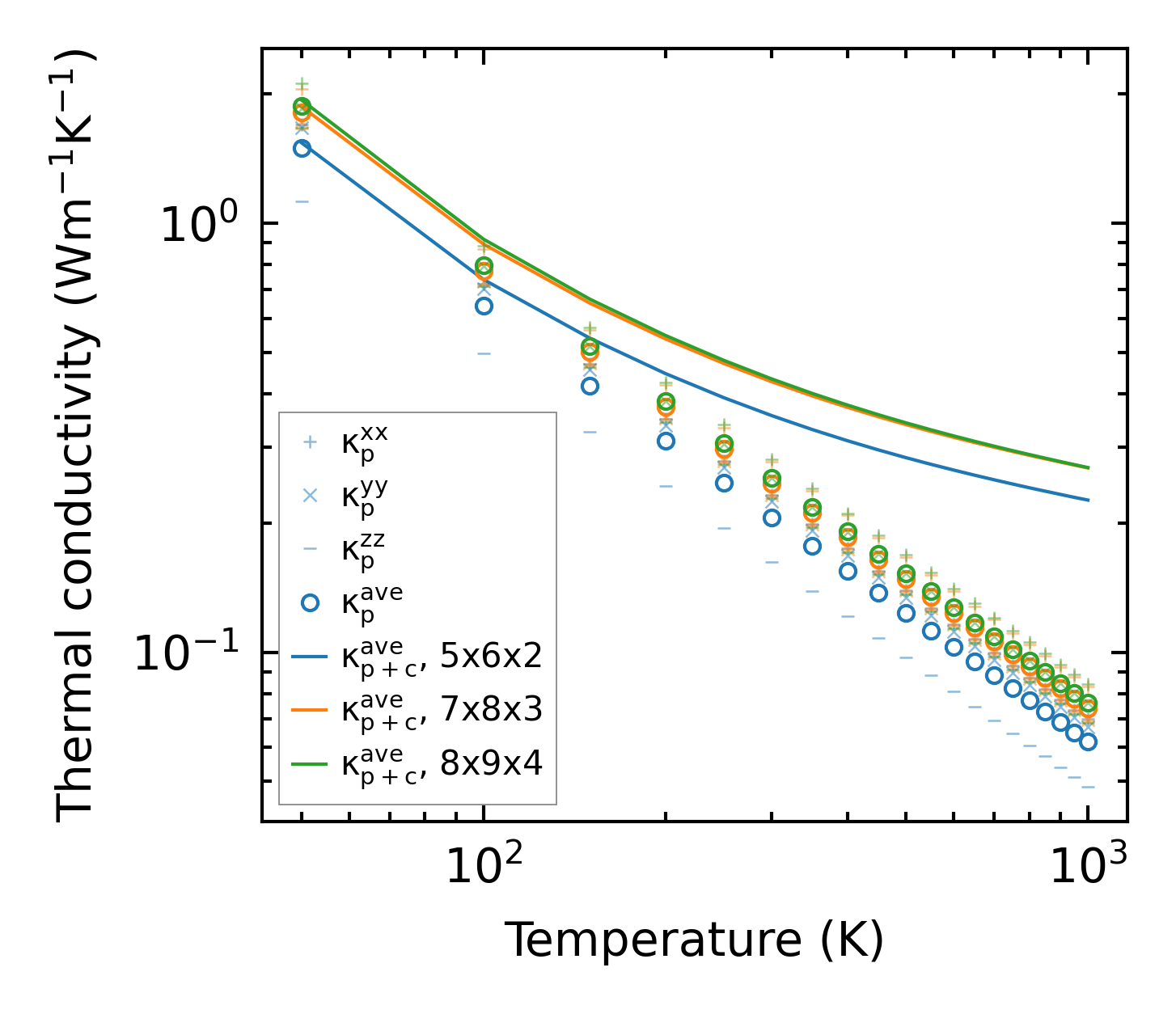
../../_images/fig_kappa11312.png

(a) Temperature-dependent lattice thermal conductivity

../../_images/fig_times23656.png

(b) Computation time