mp-16742/BaAgTeF/anharm

Harmonic properties

../../_images/fig_bandos_pr14473.png

(a) Phonon dispersion with participation ratio and DOS

../../_images/fig_thermo14473.png

(b) Thermodynamic properties

Grüneisen parameters

../../_images/fig_gru_all6191.png

(a) Grüneisen parameters

../../_images/fig_gruneisen6191.png

(b) Phonon dispersion with Grüneisen parameters

Thermal conductivity

3-phonon (LASSO) — q-mesh: 15x15x7, supercell: 3x3x2

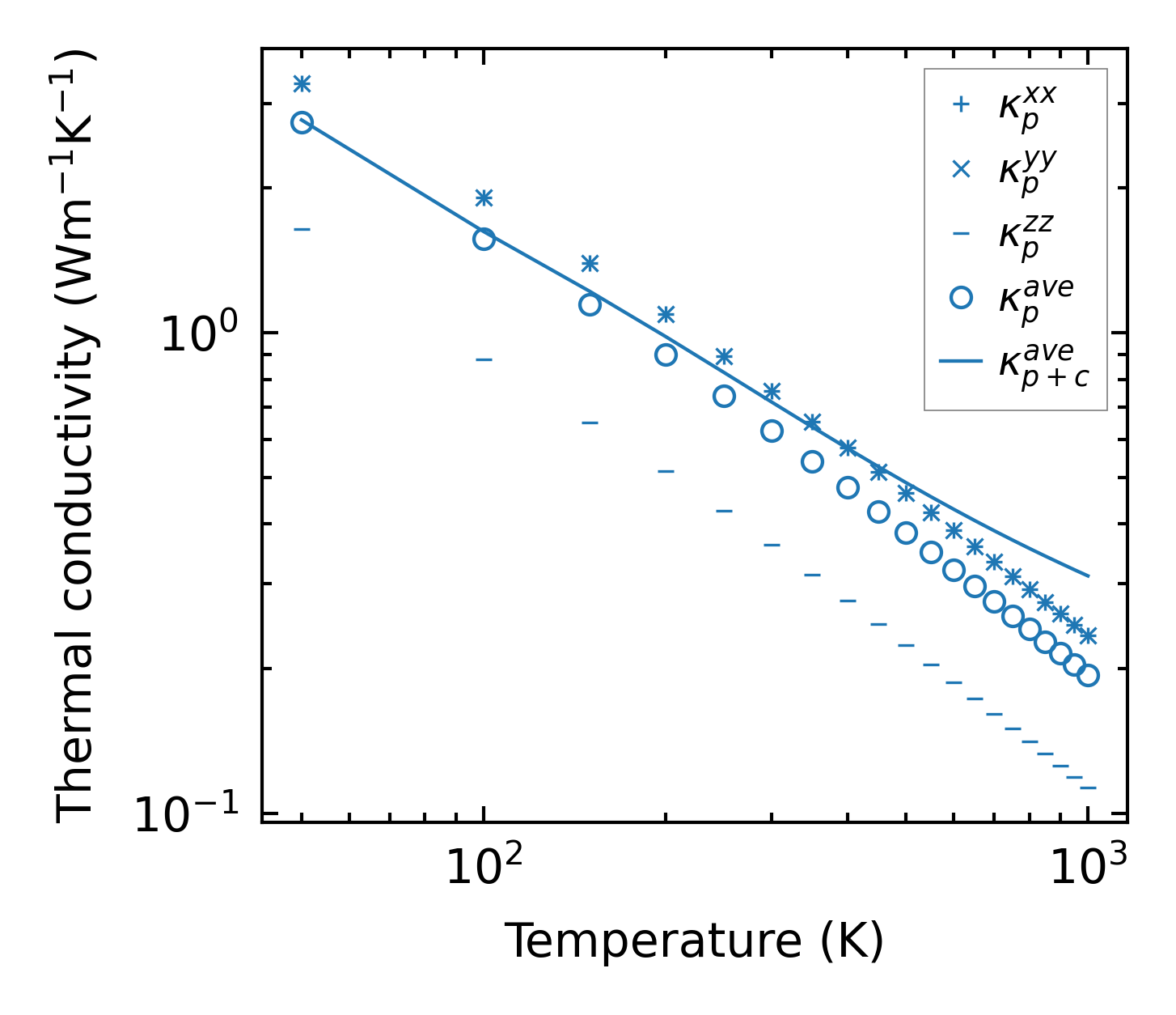
../../_images/fig_kappa11648.png

(a) Temperature-dependent lattice thermal conductivity

../../_images/fig_kappa_vs_grain_size6269.png

(b) Peierls lattice thermal conductivity w.r.t grain size

Phonon lifetime and scattering rates

../../_images/fig_lifetime6130.png

(a) Phonon lifetime due to phonon-phonon scattering

../../_images/fig_scat_rates6129.png

(b) Phonon scattering rates

Cumulative and spectral thermal conductivity

../../_images/fig_cumu_frequency6130.png

(a) Spectral and cumulative thermal conductivity w.r.t frequency

../../_images/fig_cumu_mfp6129.png

(b) Spectral and cumulative thermal conductivity w.r.t MFP

Force constants

../../_images/fig_fc214093.png

(a) Force constants w.r.t atomic distance

Summary

../../_images/fig_kappa11649.png

(a) Temperature-dependent lattice thermal conductivity

../../_images/fig_times24095.png

(b) Computation time