mp-16847/K3Na2SnP3/anharm

Harmonic properties

../../_images/fig_bandos_pr14107.png

(a) Phonon dispersion with participation ratio and DOS

../../_images/fig_thermo14107.png

(b) Thermodynamic properties

Grüneisen parameters

../../_images/fig_gru_all5985.png

(a) Grüneisen parameters

../../_images/fig_gruneisen5985.png

(b) Phonon dispersion with Grüneisen parameters

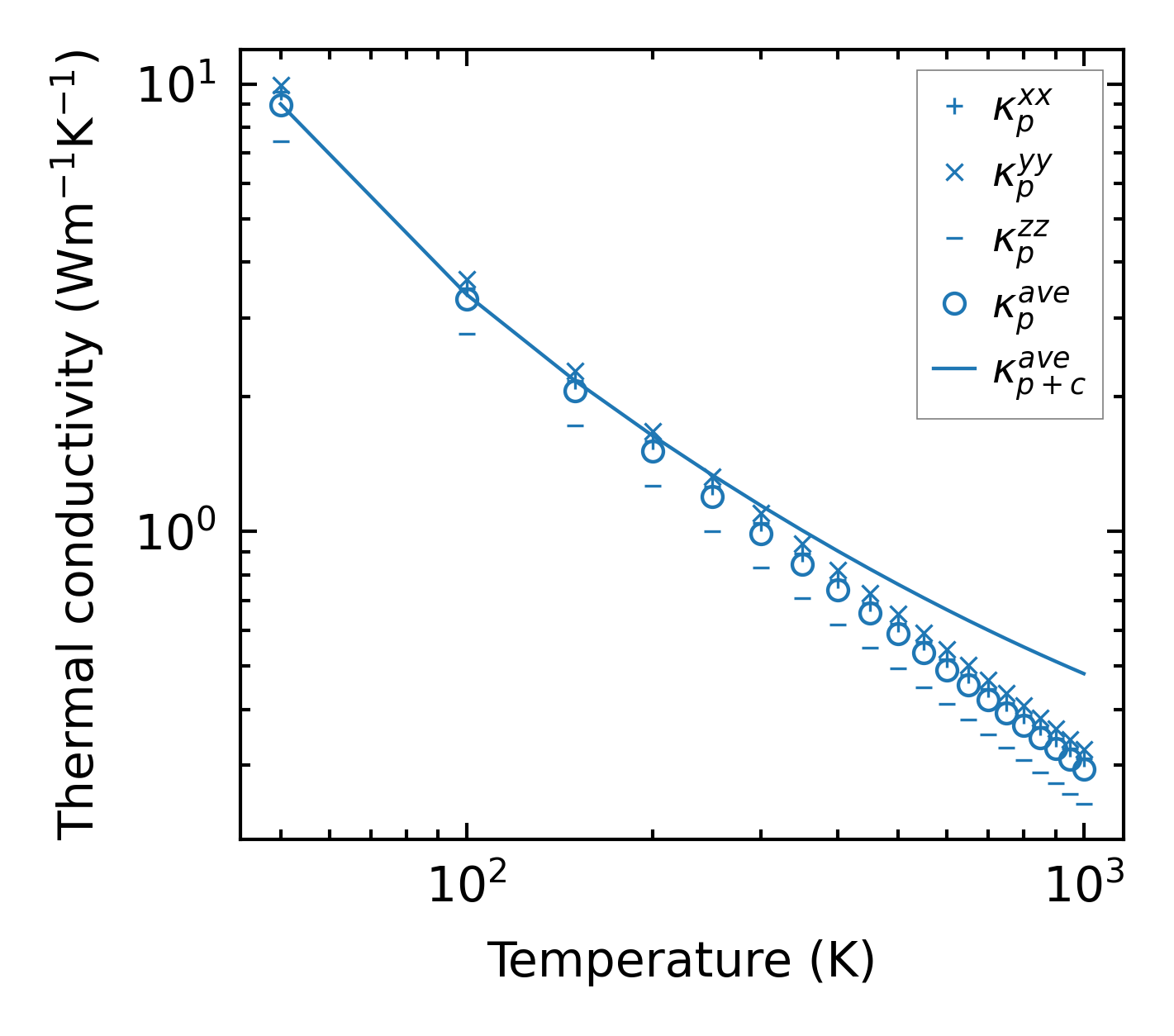
Thermal conductivity

3-phonon (LASSO) — q-mesh: 8x8x5, supercell: 1x2x1

../../_images/fig_kappa11268.png

(a) Temperature-dependent lattice thermal conductivity

../../_images/fig_kappa_vs_grain_size6064.png

(b) Peierls lattice thermal conductivity w.r.t grain size

Phonon lifetime and scattering rates

../../_images/fig_lifetime5928.png

(a) Phonon lifetime due to phonon-phonon scattering

../../_images/fig_scat_rates5927.png

(b) Phonon scattering rates

Cumulative and spectral thermal conductivity

../../_images/fig_cumu_frequency5928.png

(a) Spectral and cumulative thermal conductivity w.r.t frequency

../../_images/fig_cumu_mfp5927.png

(b) Spectral and cumulative thermal conductivity w.r.t MFP

Force constants

../../_images/fig_fc213735.png

(a) Force constants w.r.t atomic distance

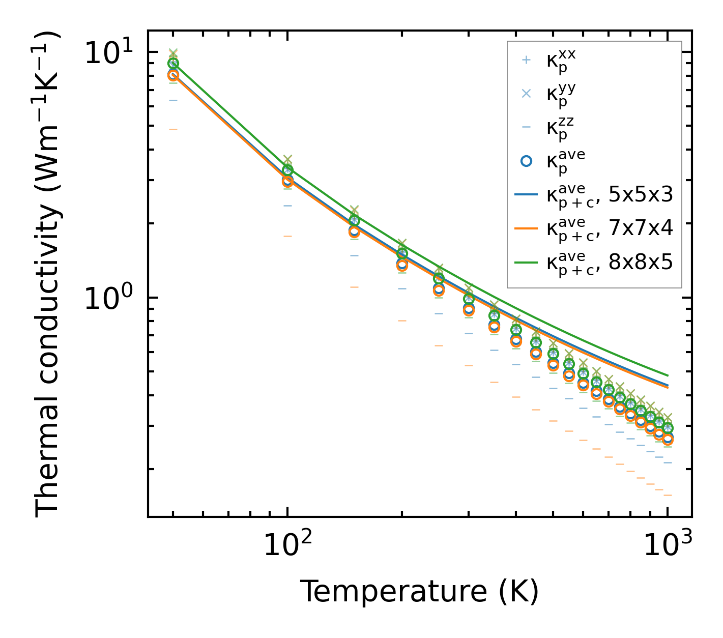
Summary

../../_images/fig_kappa11269.png

(a) Temperature-dependent lattice thermal conductivity

../../_images/fig_times23600.png

(b) Computation time