mp-16969/Lu2SiO5/anharm

Harmonic properties

../../_images/fig_bandos_pr14138.png

(a) Phonon dispersion with participation ratio and DOS

../../_images/fig_thermo14138.png

(b) Thermodynamic properties

Grüneisen parameters

../../_images/fig_gru_all6004.png

(a) Grüneisen parameters

../../_images/fig_gruneisen6004.png

(b) Phonon dispersion with Grüneisen parameters

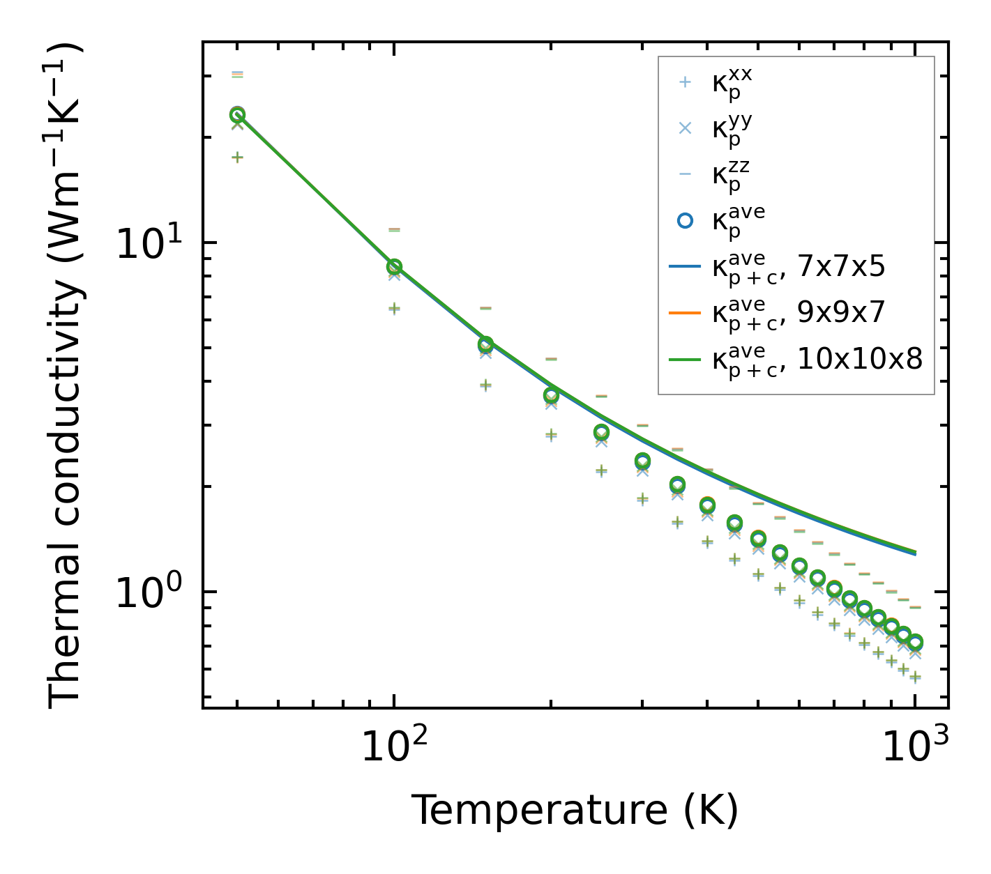
Thermal conductivity

3-phonon (LASSO) — q-mesh: 10x10x8, supercell: 1x2x1

../../_images/fig_kappa11303.png

(a) Temperature-dependent lattice thermal conductivity

../../_images/fig_kappa_vs_grain_size6083.png

(b) Peierls lattice thermal conductivity w.r.t grain size

Phonon lifetime and scattering rates

../../_images/fig_lifetime5947.png

(a) Phonon lifetime due to phonon-phonon scattering

../../_images/fig_scat_rates5946.png

(b) Phonon scattering rates

Cumulative and spectral thermal conductivity

../../_images/fig_cumu_frequency5947.png

(a) Spectral and cumulative thermal conductivity w.r.t frequency

../../_images/fig_cumu_mfp5946.png

(b) Spectral and cumulative thermal conductivity w.r.t MFP

Force constants

../../_images/fig_fc213766.png

(a) Force constants w.r.t atomic distance

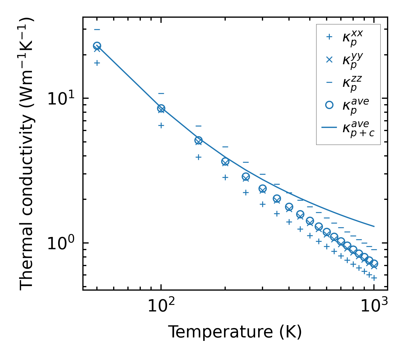
Summary

../../_images/fig_kappa11304.png

(a) Temperature-dependent lattice thermal conductivity

../../_images/fig_times23648.png

(b) Computation time