mp-16135-2/Sm3NbS3O4/harm

Harmonic properties

../../_images/fig_bandos_pr14390.png

(a) Phonon dispersion with participation ratio and DOS

../../_images/fig_bandos18763.png

(b) Phonon dispersion and DOS

../../_images/fig_thermo14390.png

(c) Thermodynamic properties

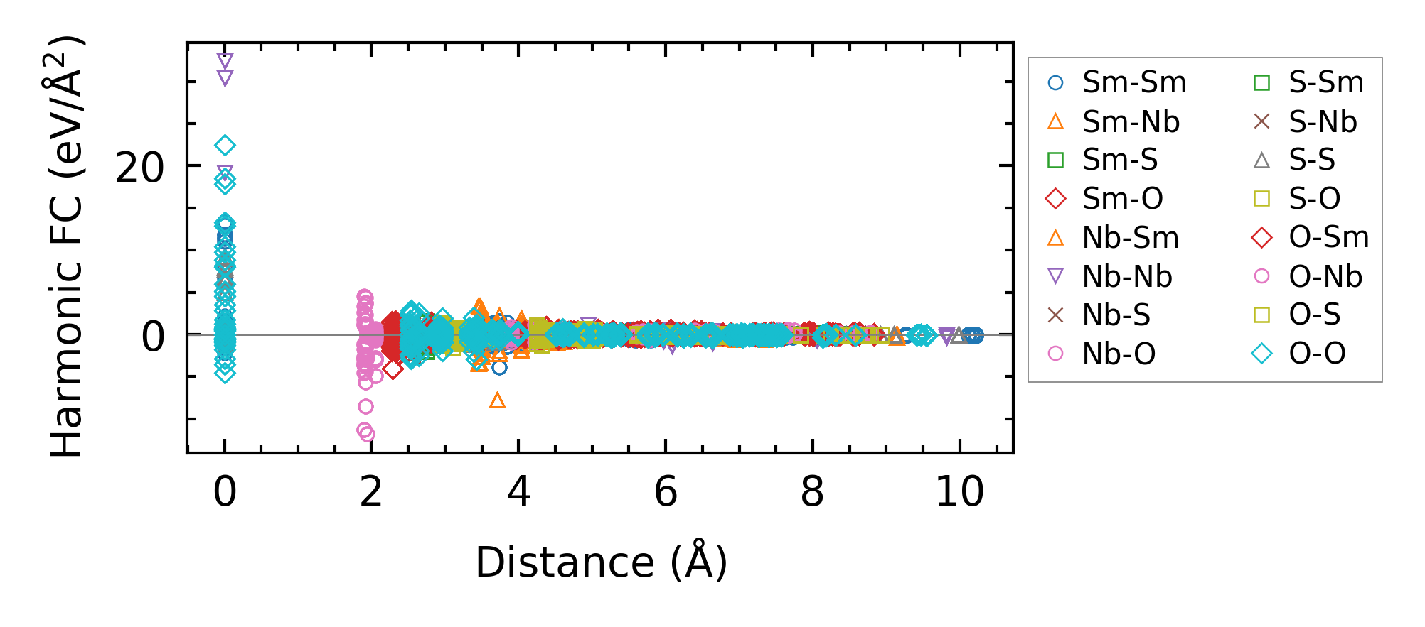
Force constants

../../_images/fig_fc214015.png

(a) Force constants w.r.t atomic distance

Summary

../../_images/fig_times23989.png

(a) Computation time