mp-16165/Ho3Si3O10F/anharm

Harmonic properties

../../_images/fig_bandos_pr14403.png

(a) Phonon dispersion with participation ratio and DOS

../../_images/fig_thermo14403.png

(b) Thermodynamic properties

Grüneisen parameters

../../_images/fig_gru_all6146.png

(a) Grüneisen parameters

../../_images/fig_gruneisen6146.png

(b) Phonon dispersion with Grüneisen parameters

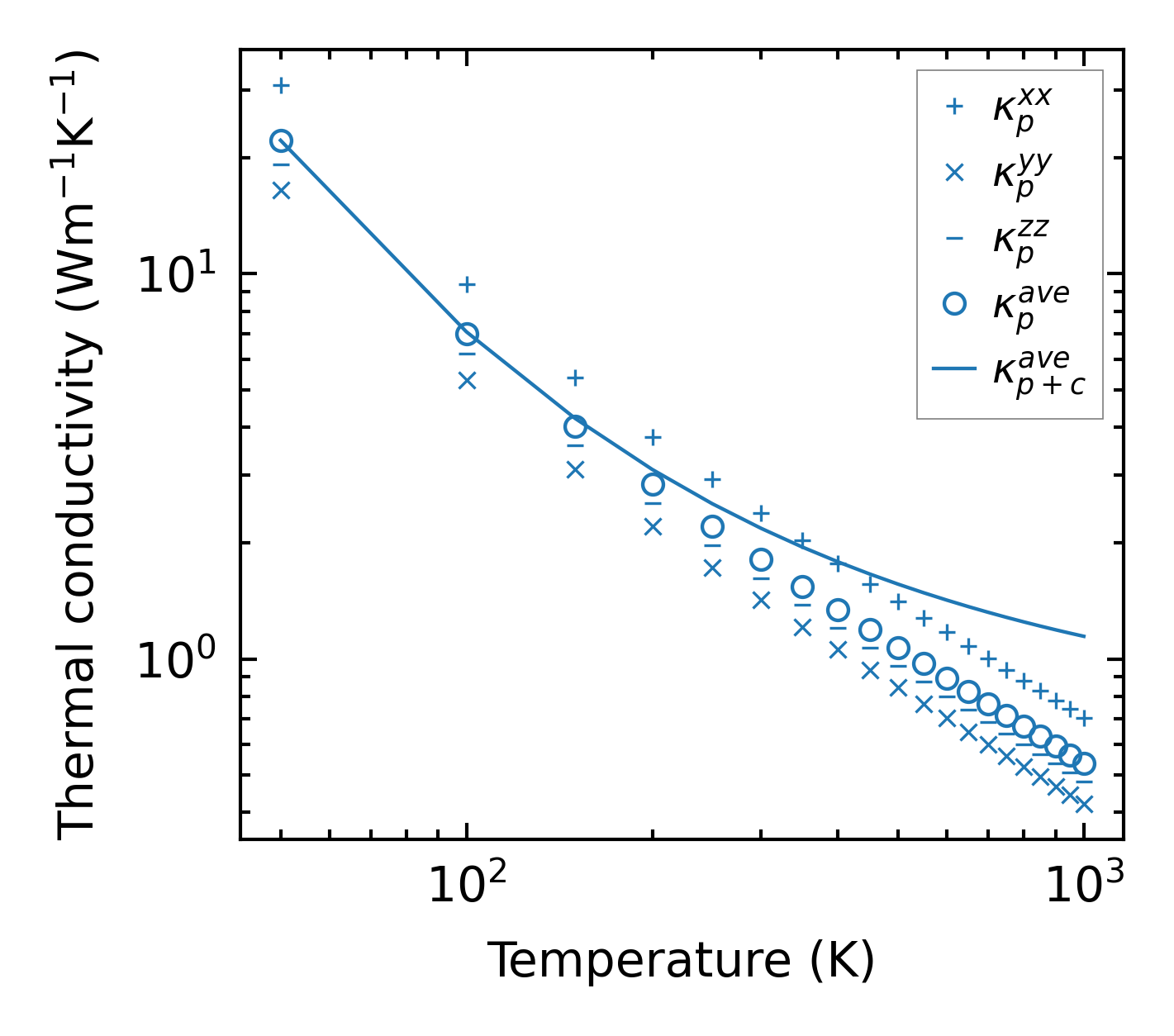
Thermal conductivity

3-phonon (LASSO) — q-mesh: 10x6x6, supercell: 2x1x1

../../_images/fig_kappa11562.png

(a) Temperature-dependent lattice thermal conductivity

../../_images/fig_kappa_vs_grain_size6224.png

(b) Peierls lattice thermal conductivity w.r.t grain size

Phonon lifetime and scattering rates

../../_images/fig_lifetime6085.png

(a) Phonon lifetime due to phonon-phonon scattering

../../_images/fig_scat_rates6084.png

(b) Phonon scattering rates

Cumulative and spectral thermal conductivity

../../_images/fig_cumu_frequency6085.png

(a) Spectral and cumulative thermal conductivity w.r.t frequency

../../_images/fig_cumu_mfp6084.png

(b) Spectral and cumulative thermal conductivity w.r.t MFP

Force constants

../../_images/fig_fc214028.png

(a) Force constants w.r.t atomic distance

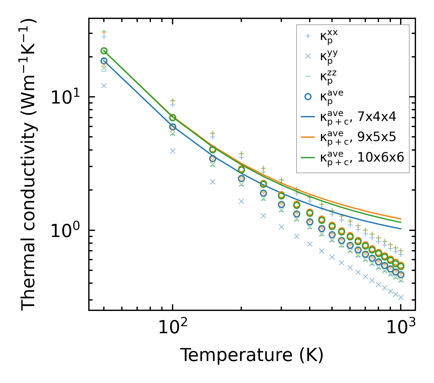
Summary

../../_images/fig_kappa11563.png

(a) Temperature-dependent lattice thermal conductivity

../../_images/fig_times24004.png

(b) Computation time