mp-16329/ErSbPt/anharm

Harmonic properties

../../_images/fig_bandos_pr14424.png

(a) Phonon dispersion with participation ratio and DOS

../../_images/fig_thermo14424.png

(b) Thermodynamic properties

Grüneisen parameters

../../_images/fig_gru_all6162.png

(a) Grüneisen parameters

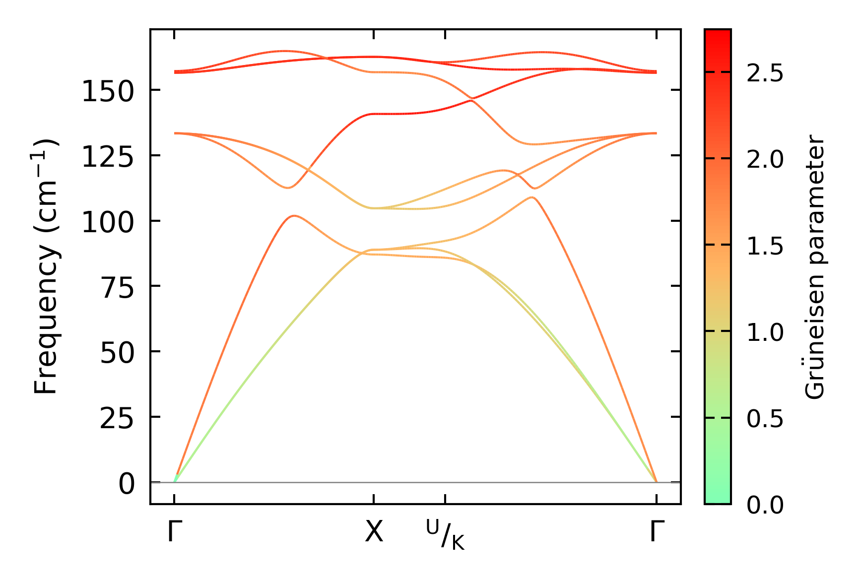
../../_images/fig_gruneisen6162.png

(b) Phonon dispersion with Grüneisen parameters

Thermal conductivity

3-phonon — q-mesh: 17x17x17, supercell: 2x2x2

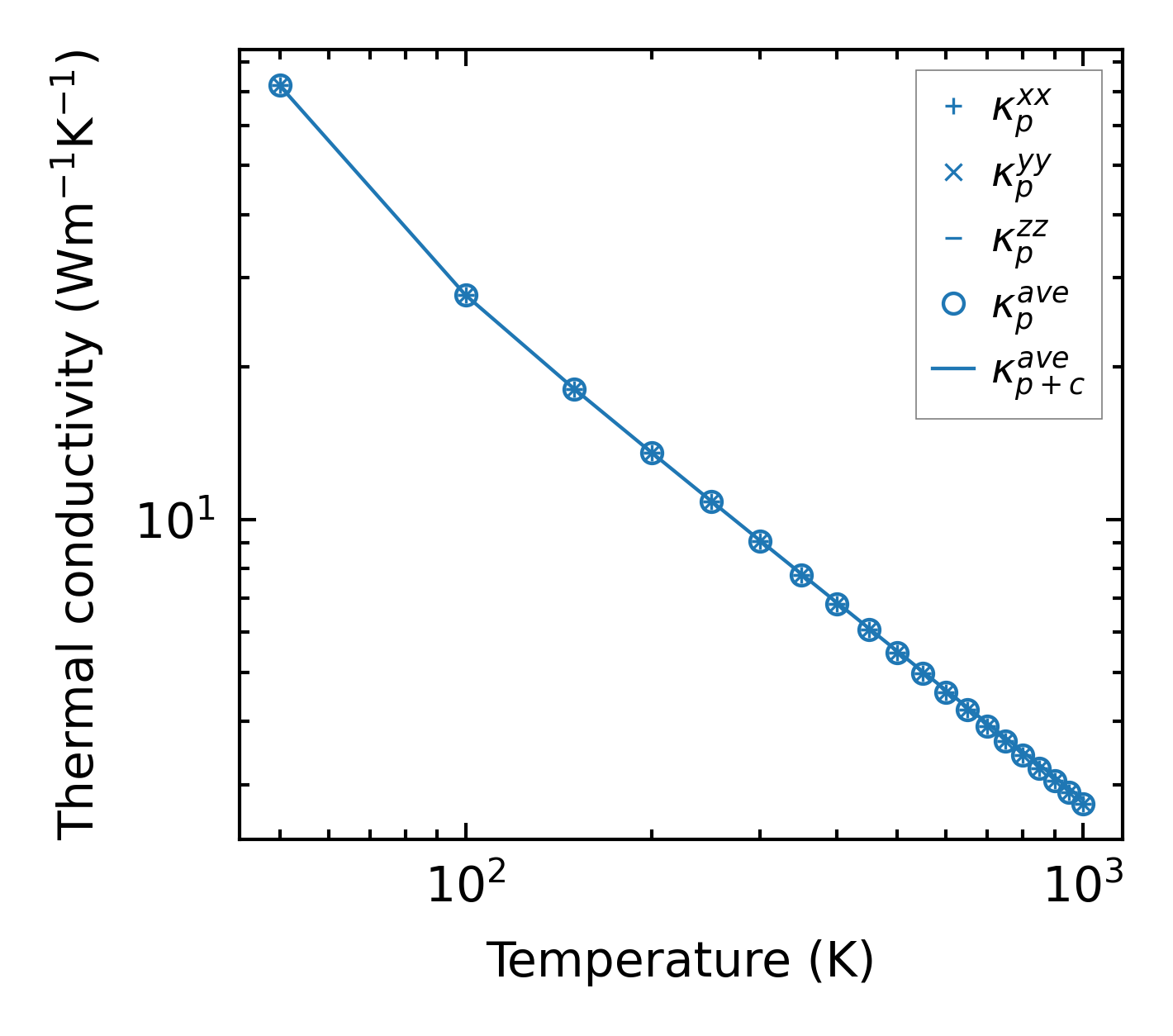
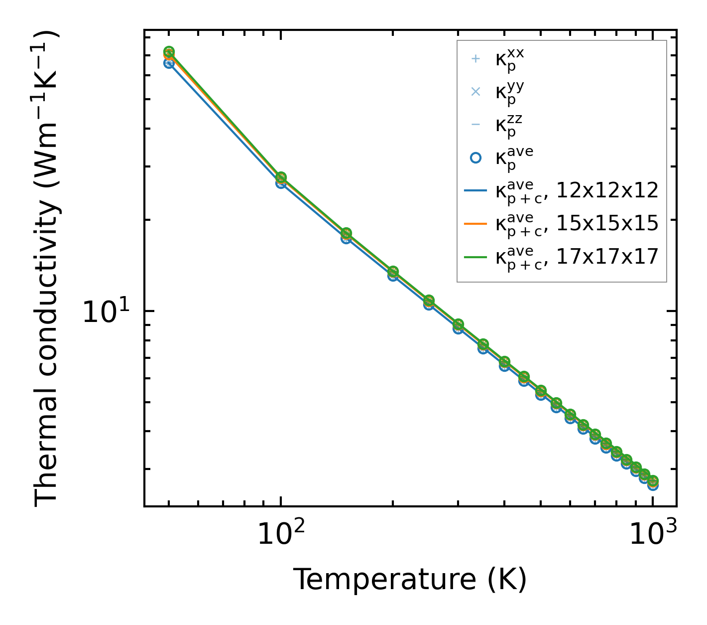
../../_images/fig_kappa11594.png

(a) Temperature-dependent lattice thermal conductivity

../../_images/fig_kappa_vs_grain_size6240.png

(b) Peierls lattice thermal conductivity w.r.t grain size

Phonon lifetime and scattering rates

../../_images/fig_lifetime6101.png

(a) Phonon lifetime due to phonon-phonon scattering

../../_images/fig_scat_rates6100.png

(b) Phonon scattering rates

Cumulative and spectral thermal conductivity

../../_images/fig_cumu_frequency6101.png

(a) Spectral and cumulative thermal conductivity w.r.t frequency

../../_images/fig_cumu_mfp6100.png

(b) Spectral and cumulative thermal conductivity w.r.t MFP

Force constants

../../_images/fig_fc3379.png

(a) Force constants w.r.t atomic distance

Summary

../../_images/fig_kappa11595.png

(a) Temperature-dependent lattice thermal conductivity

../../_images/fig_times24031.png

(b) Computation time