mp-16818/Rb2Cd3Se4/anharm

Harmonic properties

../../_images/fig_bandos_pr14103.png

(a) Phonon dispersion with participation ratio and DOS

../../_images/fig_thermo14103.png

(b) Thermodynamic properties

Grüneisen parameters

../../_images/fig_gru_all5982.png

(a) Grüneisen parameters

../../_images/fig_gruneisen5982.png

(b) Phonon dispersion with Grüneisen parameters

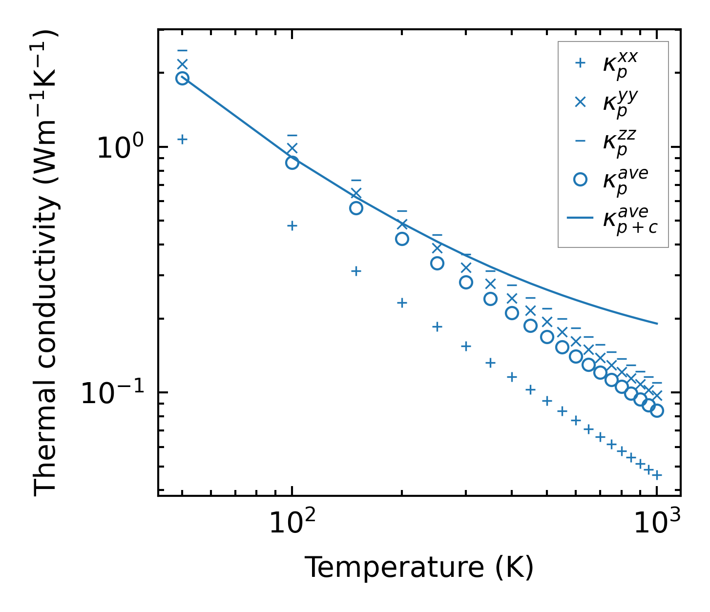
Thermal conductivity

3-phonon (LASSO) — q-mesh: 4x6x10, supercell: 1x2x2

../../_images/fig_kappa11262.png

(a) Temperature-dependent lattice thermal conductivity

../../_images/fig_kappa_vs_grain_size6060.png

(b) Peierls lattice thermal conductivity w.r.t grain size

Phonon lifetime and scattering rates

../../_images/fig_lifetime5925.png

(a) Phonon lifetime due to phonon-phonon scattering

../../_images/fig_scat_rates5924.png

(b) Phonon scattering rates

Cumulative and spectral thermal conductivity

../../_images/fig_cumu_frequency5925.png

(a) Spectral and cumulative thermal conductivity w.r.t frequency

../../_images/fig_cumu_mfp5924.png

(b) Spectral and cumulative thermal conductivity w.r.t MFP

Force constants

../../_images/fig_fc213731.png

(a) Force constants w.r.t atomic distance

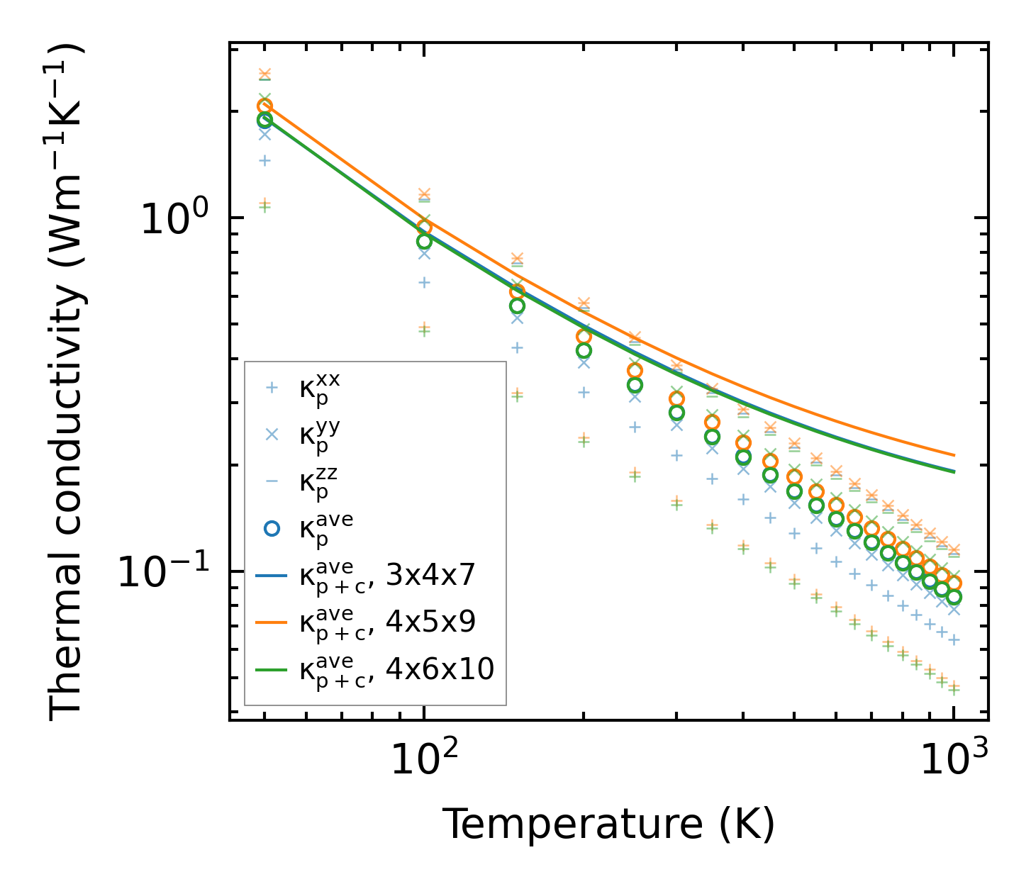
Summary

../../_images/fig_kappa11263.png

(a) Temperature-dependent lattice thermal conductivity

../../_images/fig_times23590.png

(b) Computation time