mp-16870/Ba2CdSe3/anharm

Harmonic properties

../../_images/fig_bandos_pr14113.png

(a) Phonon dispersion with participation ratio and DOS

../../_images/fig_thermo14113.png

(b) Thermodynamic properties

Grüneisen parameters

../../_images/fig_gru_all5989.png

(a) Grüneisen parameters

../../_images/fig_gruneisen5989.png

(b) Phonon dispersion with Grüneisen parameters

Thermal conductivity

3-phonon (LASSO) — q-mesh: 7x16x4, supercell: 2x3x1

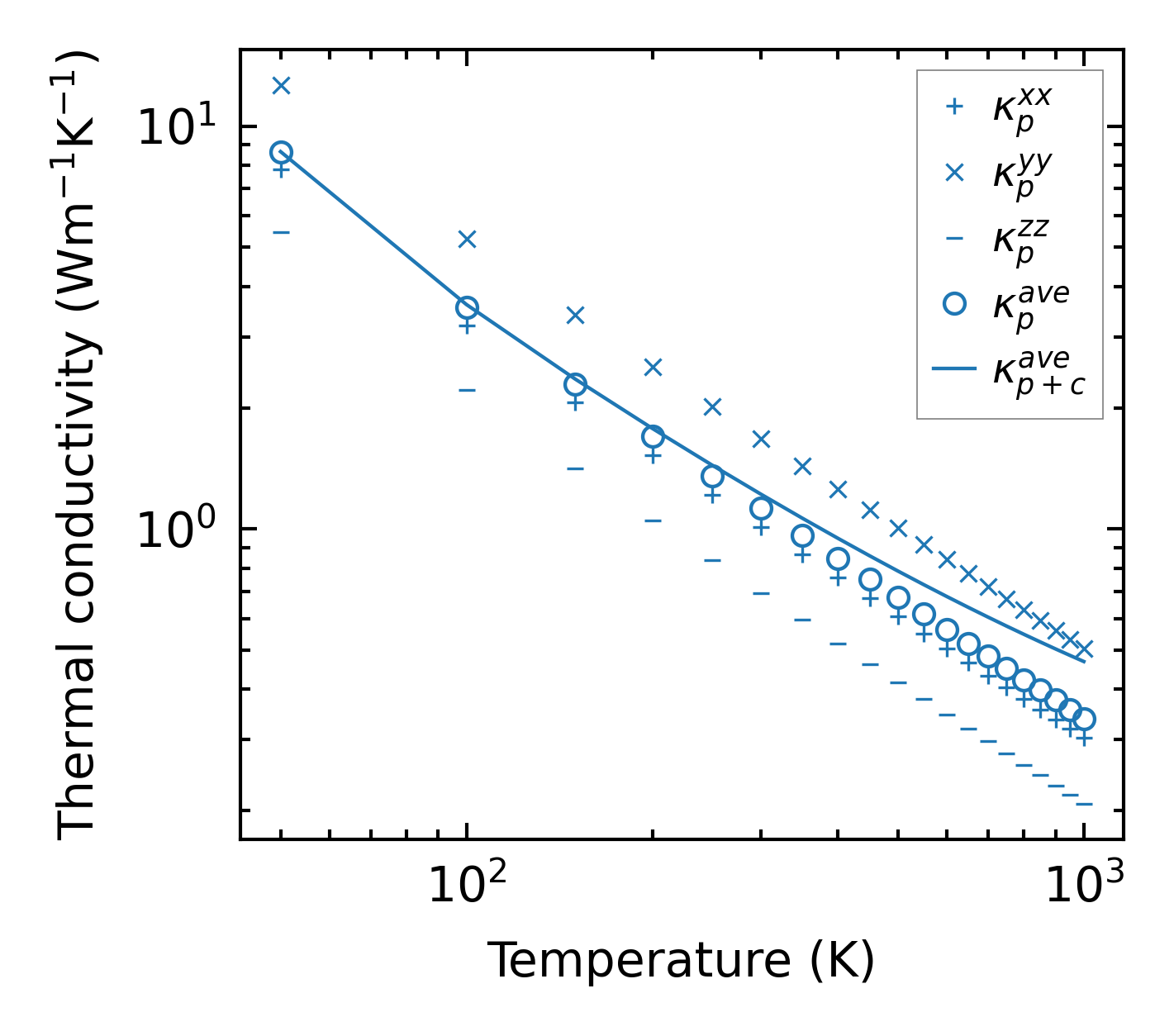
../../_images/fig_kappa11276.png

(a) Temperature-dependent lattice thermal conductivity

../../_images/fig_kappa_vs_grain_size6068.png

(b) Peierls lattice thermal conductivity w.r.t grain size

Phonon lifetime and scattering rates

../../_images/fig_lifetime5932.png

(a) Phonon lifetime due to phonon-phonon scattering

../../_images/fig_scat_rates5931.png

(b) Phonon scattering rates

Cumulative and spectral thermal conductivity

../../_images/fig_cumu_frequency5932.png

(a) Spectral and cumulative thermal conductivity w.r.t frequency

../../_images/fig_cumu_mfp5931.png

(b) Spectral and cumulative thermal conductivity w.r.t MFP

Force constants

../../_images/fig_fc213741.png

(a) Force constants w.r.t atomic distance

Summary

../../_images/fig_kappa11277.png

(a) Temperature-dependent lattice thermal conductivity

../../_images/fig_times23609.png

(b) Computation time