mp-16961/Na6Si2Se7/anharm

Harmonic properties

../../_images/fig_bandos_pr14135.png

(a) Phonon dispersion with participation ratio and DOS

../../_images/fig_thermo14135.png

(b) Thermodynamic properties

Grüneisen parameters

../../_images/fig_gru_all6003.png

(a) Grüneisen parameters

../../_images/fig_gruneisen6003.png

(b) Phonon dispersion with Grüneisen parameters

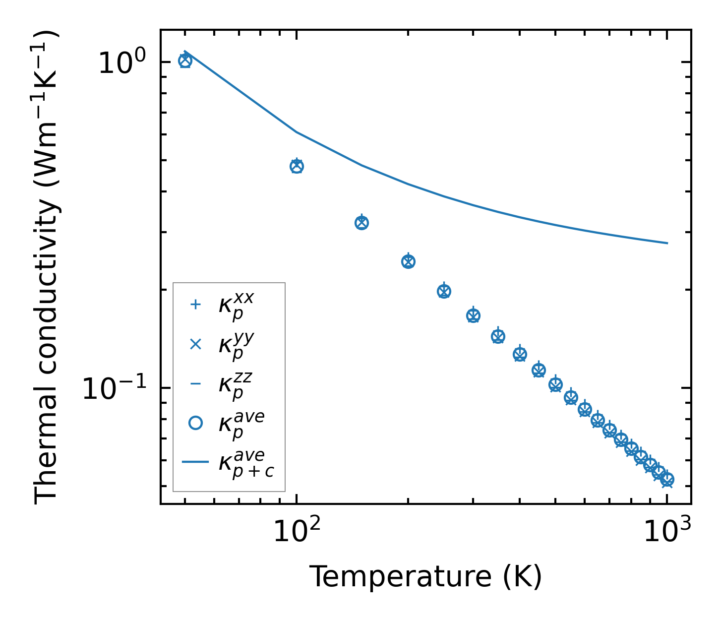
Thermal conductivity

3-phonon (LASSO) — q-mesh: 10x10x4, supercell: 2x1x1

../../_images/fig_kappa11301.png

(a) Temperature-dependent lattice thermal conductivity

../../_images/fig_kappa_vs_grain_size6082.png

(b) Peierls lattice thermal conductivity w.r.t grain size

Phonon lifetime and scattering rates

../../_images/fig_lifetime5946.png

(a) Phonon lifetime due to phonon-phonon scattering

../../_images/fig_scat_rates5945.png

(b) Phonon scattering rates

Cumulative and spectral thermal conductivity

../../_images/fig_cumu_frequency5946.png

(a) Spectral and cumulative thermal conductivity w.r.t frequency

../../_images/fig_cumu_mfp5945.png

(b) Spectral and cumulative thermal conductivity w.r.t MFP

Force constants

../../_images/fig_fc213763.png

(a) Force constants w.r.t atomic distance

Summary

../../_images/fig_kappa11302.png

(a) Temperature-dependent lattice thermal conductivity

../../_images/fig_times23644.png

(b) Computation time