mp-16610/Ge3Os2/anharm

Harmonic properties

../../_images/fig_bandos_pr14462.png

(a) Phonon dispersion with participation ratio and DOS

../../_images/fig_thermo14462.png

(b) Thermodynamic properties

Grüneisen parameters

../../_images/fig_gru_all6184.png

(a) Grüneisen parameters

../../_images/fig_gruneisen6184.png

(b) Phonon dispersion with Grüneisen parameters

Thermal conductivity

3-phonon (LASSO) — q-mesh: 6x7x12, supercell: 1x1x2

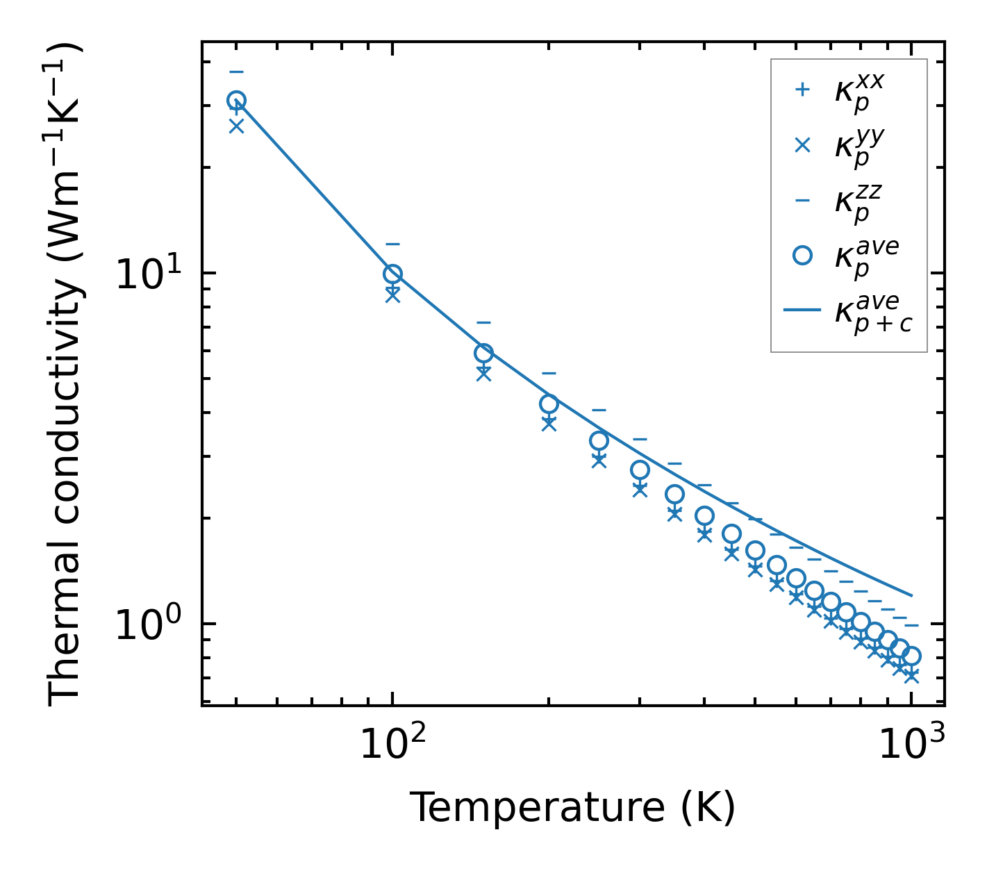
../../_images/fig_kappa11634.png

(a) Temperature-dependent lattice thermal conductivity

../../_images/fig_kappa_vs_grain_size6262.png

(b) Peierls lattice thermal conductivity w.r.t grain size

Phonon lifetime and scattering rates

../../_images/fig_lifetime6123.png

(a) Phonon lifetime due to phonon-phonon scattering

../../_images/fig_scat_rates6122.png

(b) Phonon scattering rates

Cumulative and spectral thermal conductivity

../../_images/fig_cumu_frequency6123.png

(a) Spectral and cumulative thermal conductivity w.r.t frequency

../../_images/fig_cumu_mfp6122.png

(b) Spectral and cumulative thermal conductivity w.r.t MFP

Force constants

../../_images/fig_fc214082.png

(a) Force constants w.r.t atomic distance

Summary

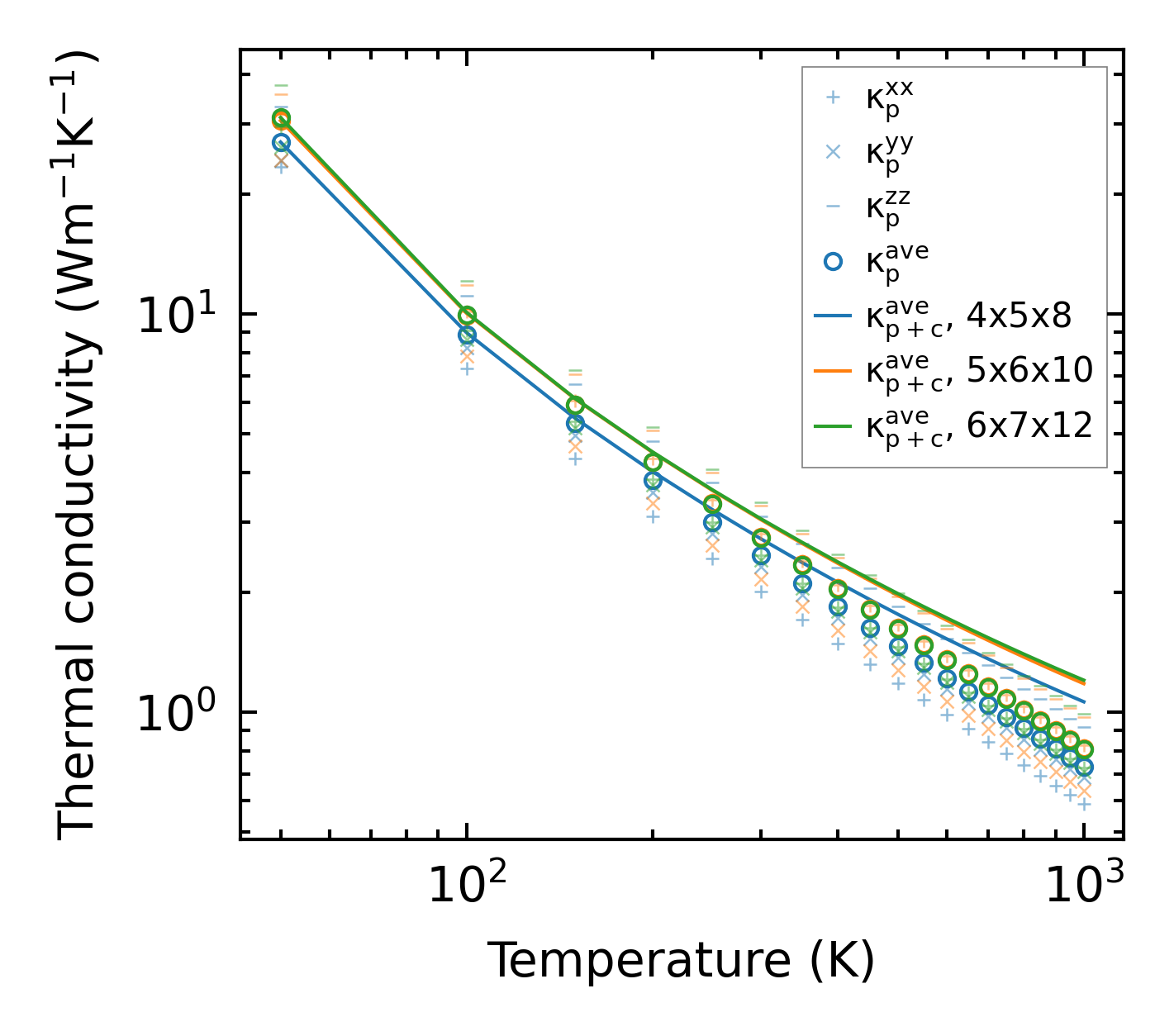
../../_images/fig_kappa11635.png

(a) Temperature-dependent lattice thermal conductivity

../../_images/fig_times24078.png

(b) Computation time