mp-16837-2/Nb3AgO8/anharm

Equation of state

../../_images/fig_bm7066.png

(a) Equation of state

Harmonic properties

../../_images/fig_bandos_pr14106.png

(a) Phonon dispersion with participation ratio and DOS

../../_images/fig_thermo14106.png

(b) Thermodynamic properties

Grüneisen parameters

../../_images/fig_gru_all5984.png

(a) Grüneisen parameters

../../_images/fig_gruneisen5984.png

(b) Phonon dispersion with Grüneisen parameters

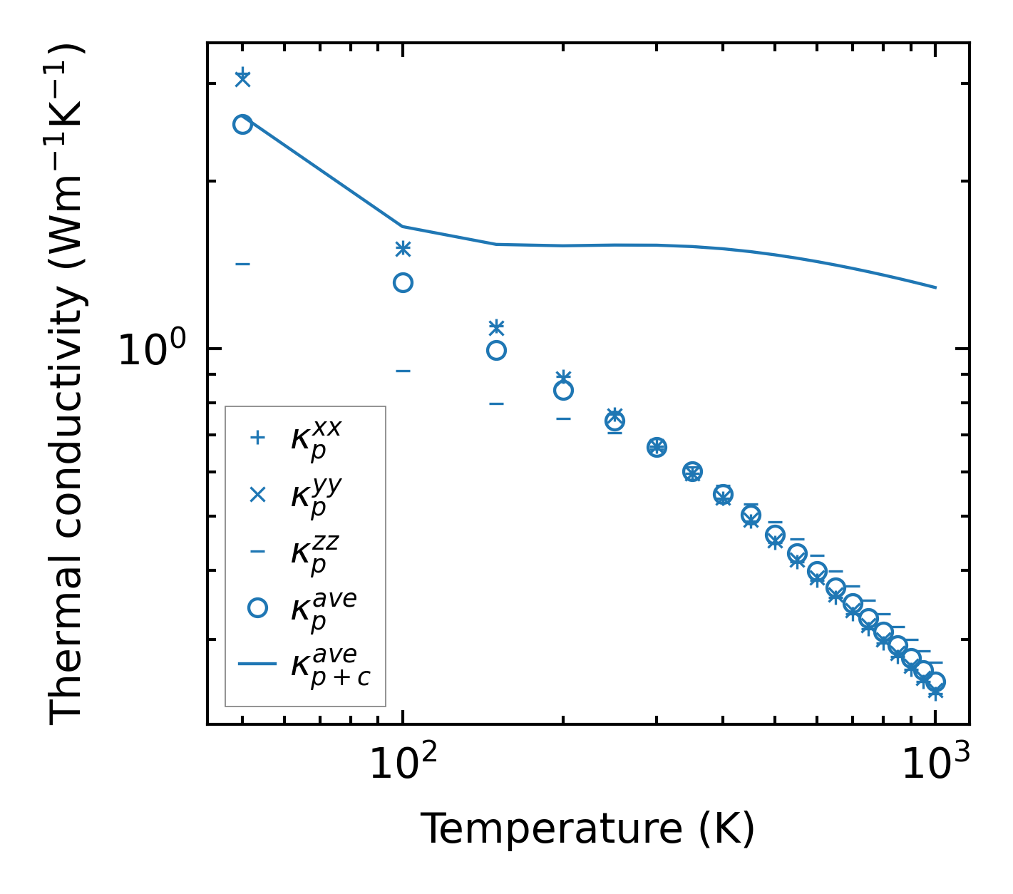
Thermal conductivity

3-phonon (LASSO) — q-mesh: 11x11x11, supercell: 1x1x2

../../_images/fig_kappa11265.png

(a) Temperature-dependent lattice thermal conductivity

../../_images/fig_kappa_vs_grain_size6062.png

(b) Peierls lattice thermal conductivity w.r.t grain size

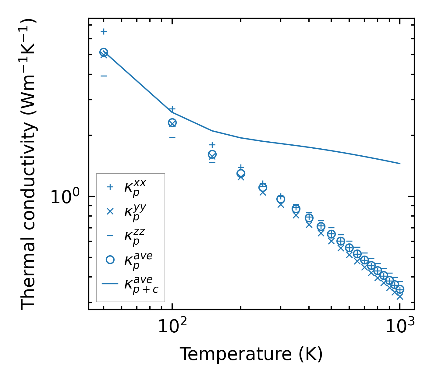
3-phonon (LASSO), supercell 2x1x2 — q-mesh: 11x11x11, supercell: 2x1x2

../../_images/fig_kappa11266.png

(a) Temperature-dependent lattice thermal conductivity

../../_images/fig_kappa_vs_grain_size6063.png

(b) Peierls lattice thermal conductivity w.r.t grain size

Phonon lifetime and scattering rates

../../_images/fig_lifetime5927.png

(a) Phonon lifetime due to phonon-phonon scattering

../../_images/fig_scat_rates5926.png

(b) Phonon scattering rates

Cumulative and spectral thermal conductivity

../../_images/fig_cumu_frequency5927.png

(a) Spectral and cumulative thermal conductivity w.r.t frequency

../../_images/fig_cumu_mfp5926.png

(b) Spectral and cumulative thermal conductivity w.r.t MFP

Force constants

../../_images/fig_fc213734.png

(a) Force constants w.r.t atomic distance

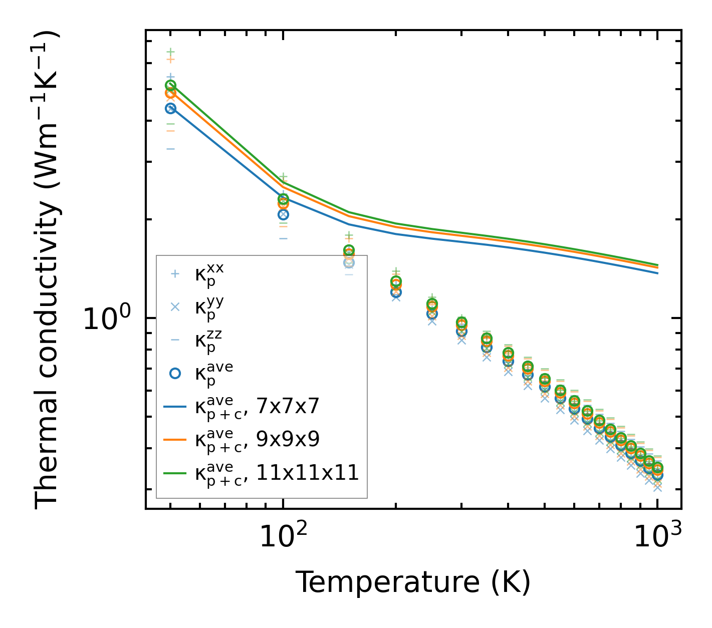
Summary

../../_images/fig_kappa11267.png

(a) Temperature-dependent lattice thermal conductivity

../../_images/fig_times23597.png

(b) Computation time