mp-16763/KYTe2/anharm

Harmonic properties

../../_images/fig_bandos_pr14474.png

(a) Phonon dispersion with participation ratio and DOS

../../_images/fig_thermo14474.png

(b) Thermodynamic properties

Grüneisen parameters

../../_images/fig_gru_all6192.png

(a) Grüneisen parameters

../../_images/fig_gruneisen6192.png

(b) Phonon dispersion with Grüneisen parameters

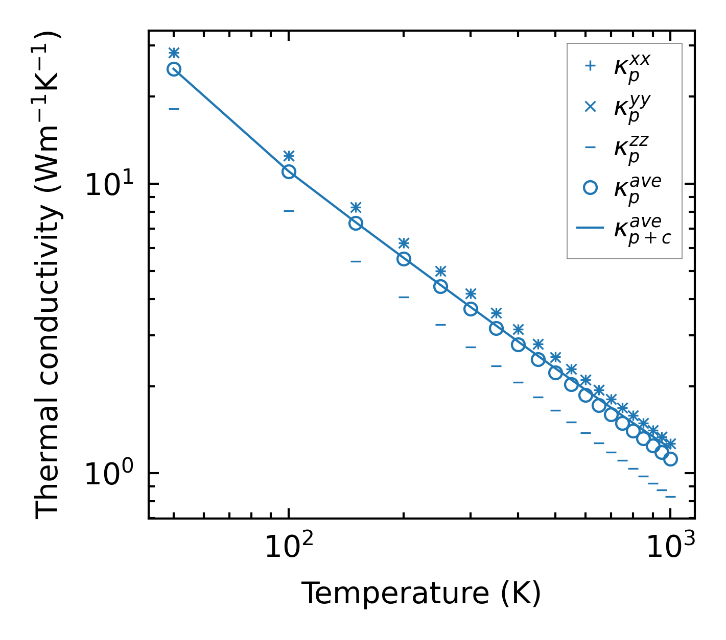
Thermal conductivity

3-phonon — q-mesh: 13x13x13, supercell: 3x3x1

../../_images/fig_kappa11650.png

(a) Temperature-dependent lattice thermal conductivity

../../_images/fig_kappa_vs_grain_size6270.png

(b) Peierls lattice thermal conductivity w.r.t grain size

Phonon lifetime and scattering rates

../../_images/fig_lifetime6131.png

(a) Phonon lifetime due to phonon-phonon scattering

../../_images/fig_scat_rates6130.png

(b) Phonon scattering rates

Cumulative and spectral thermal conductivity

../../_images/fig_cumu_frequency6131.png

(a) Spectral and cumulative thermal conductivity w.r.t frequency

../../_images/fig_cumu_mfp6130.png

(b) Spectral and cumulative thermal conductivity w.r.t MFP

Force constants

../../_images/fig_fc3381.png

(a) Force constants w.r.t atomic distance

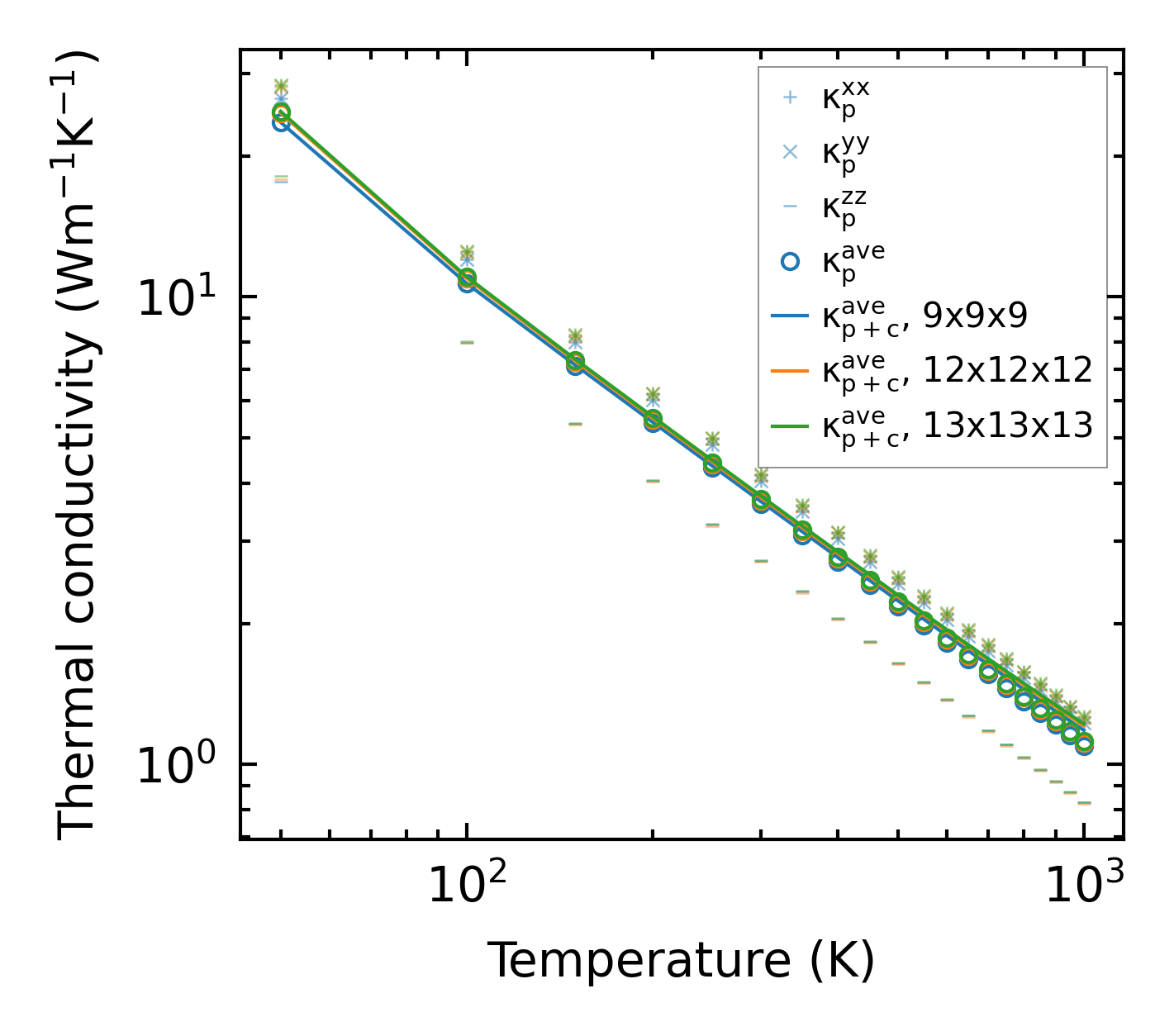
Summary

../../_images/fig_kappa11651.png

(a) Temperature-dependent lattice thermal conductivity

../../_images/fig_times24098.png

(b) Computation time