mp-16691/SrLi2Ti6O14/anharm

Harmonic properties

../../_images/fig_bandos_pr14467.png

(a) Phonon dispersion with participation ratio and DOS

../../_images/fig_thermo14467.png

(b) Thermodynamic properties

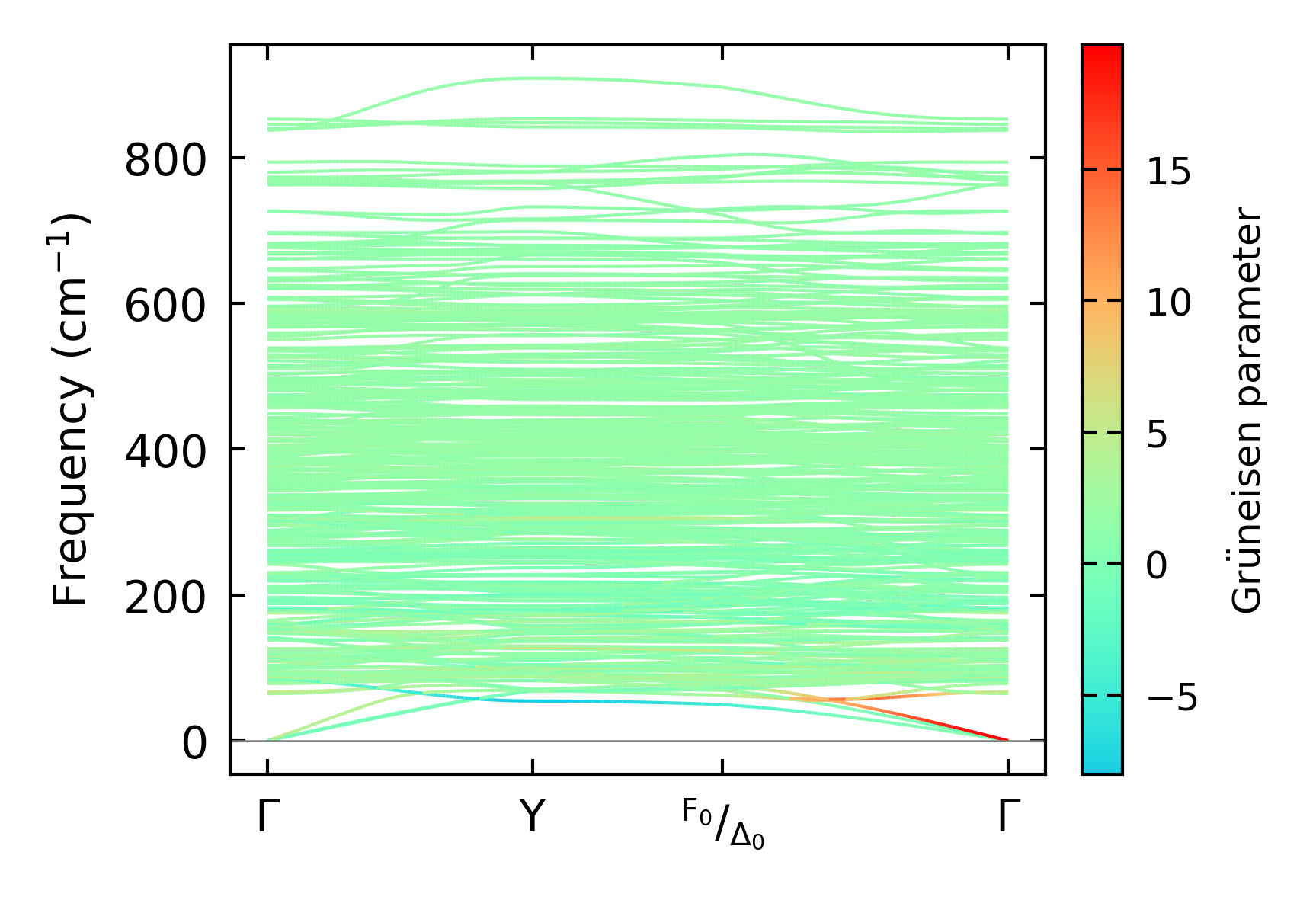
Grüneisen parameters

../../_images/fig_gru_all6187.png

(a) Grüneisen parameters

../../_images/fig_gruneisen6187.png

(b) Phonon dispersion with Grüneisen parameters

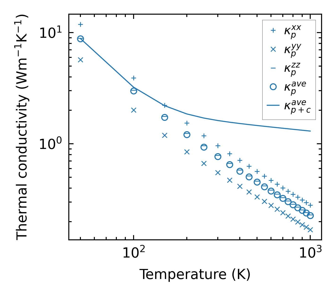
Thermal conductivity

3-phonon (LASSO) — q-mesh: 7x7x6, supercell: 1x1x1

../../_images/fig_kappa11640.png

(a) Temperature-dependent lattice thermal conductivity

../../_images/fig_kappa_vs_grain_size6265.png

(b) Peierls lattice thermal conductivity w.r.t grain size

Phonon lifetime and scattering rates

../../_images/fig_lifetime6126.png

(a) Phonon lifetime due to phonon-phonon scattering

../../_images/fig_scat_rates6125.png

(b) Phonon scattering rates

Cumulative and spectral thermal conductivity

../../_images/fig_cumu_frequency6126.png

(a) Spectral and cumulative thermal conductivity w.r.t frequency

../../_images/fig_cumu_mfp6125.png

(b) Spectral and cumulative thermal conductivity w.r.t MFP

Force constants

../../_images/fig_fc214087.png

(a) Force constants w.r.t atomic distance

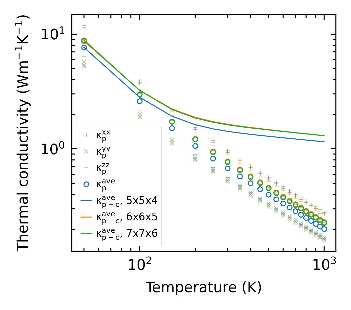
Summary

../../_images/fig_kappa11641.png

(a) Temperature-dependent lattice thermal conductivity

../../_images/fig_times24089.png

(b) Computation time