mp-16800/Sc2S3O12/harm

Equation of state

../../_images/fig_bm7235.png

(a) Equation of state

Harmonic properties

../../_images/fig_bandos_pr14484.png

(a) Phonon dispersion with participation ratio and DOS

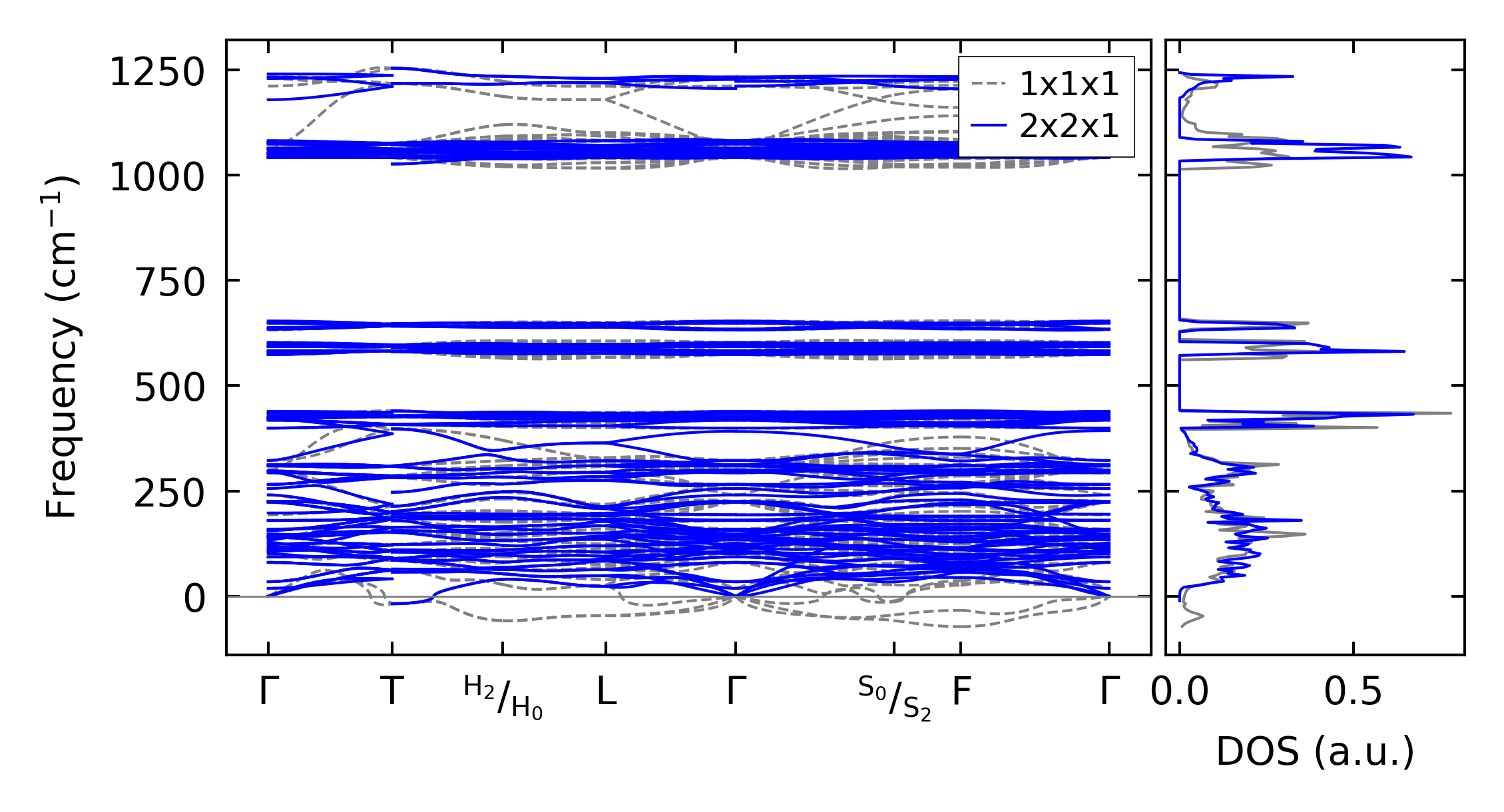
../../_images/fig_bandos18836.png

(b) Phonon dispersion and DOS

../../_images/fig_thermo14484.png

(c) Thermodynamic properties

Force constants

../../_images/fig_fc214103.png

(a) Force constants w.r.t atomic distance

Summary

../../_images/fig_times24115.png

(a) Computation time