mp-16777/NaAlP2O7/anharm

Harmonic properties

../../_images/fig_bandos_pr14480.png

(a) Phonon dispersion with participation ratio and DOS

../../_images/fig_thermo14480.png

(b) Thermodynamic properties

Grüneisen parameters

../../_images/fig_gru_all6196.png

(a) Grüneisen parameters

../../_images/fig_gruneisen6196.png

(b) Phonon dispersion with Grüneisen parameters

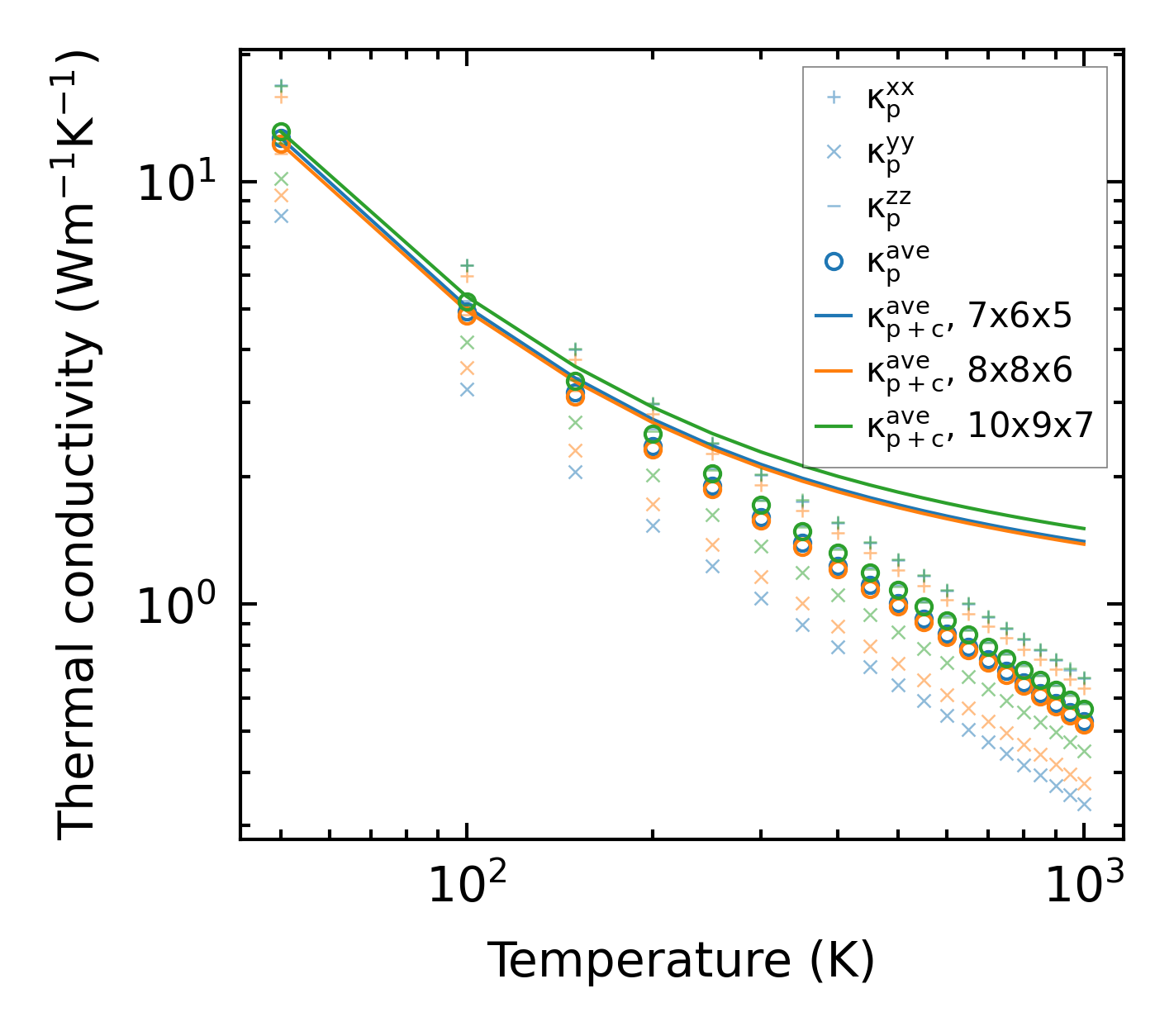
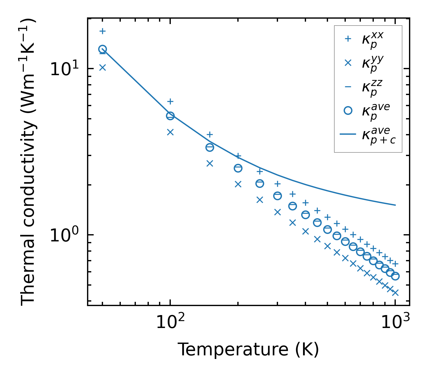
Thermal conductivity

3-phonon (LASSO) — q-mesh: 10x9x7, supercell: 2x1x1

../../_images/fig_kappa11658.png

(a) Temperature-dependent lattice thermal conductivity

../../_images/fig_kappa_vs_grain_size6274.png

(b) Peierls lattice thermal conductivity w.r.t grain size

Phonon lifetime and scattering rates

../../_images/fig_lifetime6135.png

(a) Phonon lifetime due to phonon-phonon scattering

../../_images/fig_scat_rates6134.png

(b) Phonon scattering rates

Cumulative and spectral thermal conductivity

../../_images/fig_cumu_frequency6135.png

(a) Spectral and cumulative thermal conductivity w.r.t frequency

../../_images/fig_cumu_mfp6134.png

(b) Spectral and cumulative thermal conductivity w.r.t MFP

Force constants

../../_images/fig_fc214099.png

(a) Force constants w.r.t atomic distance

Summary

../../_images/fig_kappa11659.png

(a) Temperature-dependent lattice thermal conductivity

../../_images/fig_times24105.png

(b) Computation time