mp-16164-2/Dy3Si3O10F/anharm

Equation of state

../../_images/fig_bm7201.png

(a) Equation of state

Harmonic properties

../../_images/fig_bandos_pr14401.png

(a) Phonon dispersion with participation ratio and DOS

../../_images/fig_bandos18773.png

(b) Phonon dispersion and DOS

../../_images/fig_thermo14401.png

(c) Thermodynamic properties

Grüneisen parameters

../../_images/fig_gru_all6144.png

(a) Grüneisen parameters

../../_images/fig_gruneisen6144.png

(b) Phonon dispersion with Grüneisen parameters

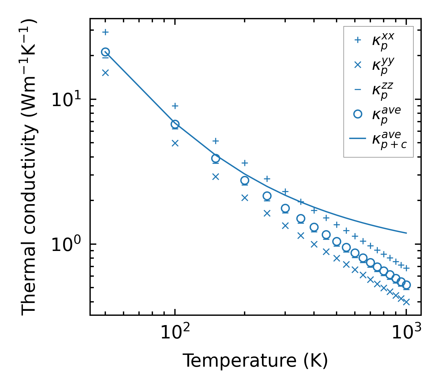
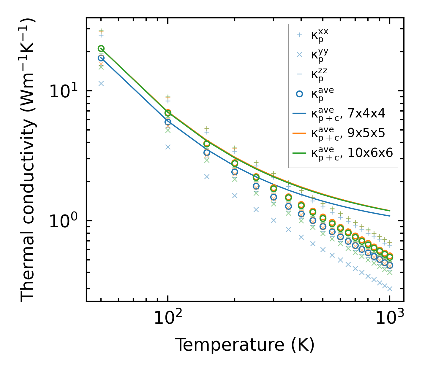
Thermal conductivity

3-phonon (LASSO) — q-mesh: 10x6x6, supercell: 2x1x1

../../_images/fig_kappa11558.png

(a) Temperature-dependent lattice thermal conductivity

../../_images/fig_kappa_vs_grain_size6222.png

(b) Peierls lattice thermal conductivity w.r.t grain size

Phonon lifetime and scattering rates

../../_images/fig_lifetime6083.png

(a) Phonon lifetime due to phonon-phonon scattering

../../_images/fig_scat_rates6082.png

(b) Phonon scattering rates

Cumulative and spectral thermal conductivity

../../_images/fig_cumu_frequency6083.png

(a) Spectral and cumulative thermal conductivity w.r.t frequency

../../_images/fig_cumu_mfp6082.png

(b) Spectral and cumulative thermal conductivity w.r.t MFP

Force constants

../../_images/fig_fc214026.png

(a) Force constants w.r.t atomic distance

Summary

../../_images/fig_kappa11559.png

(a) Temperature-dependent lattice thermal conductivity

../../_images/fig_times24002.png

(b) Computation time