mp-16811/Ho2MoO6/harm

Harmonic properties

../../_images/fig_bandos_pr14101.png

(a) Phonon dispersion with participation ratio and DOS

../../_images/fig_bandos18492.png

(b) Phonon dispersion and DOS

../../_images/fig_thermo14101.png

(c) Thermodynamic properties

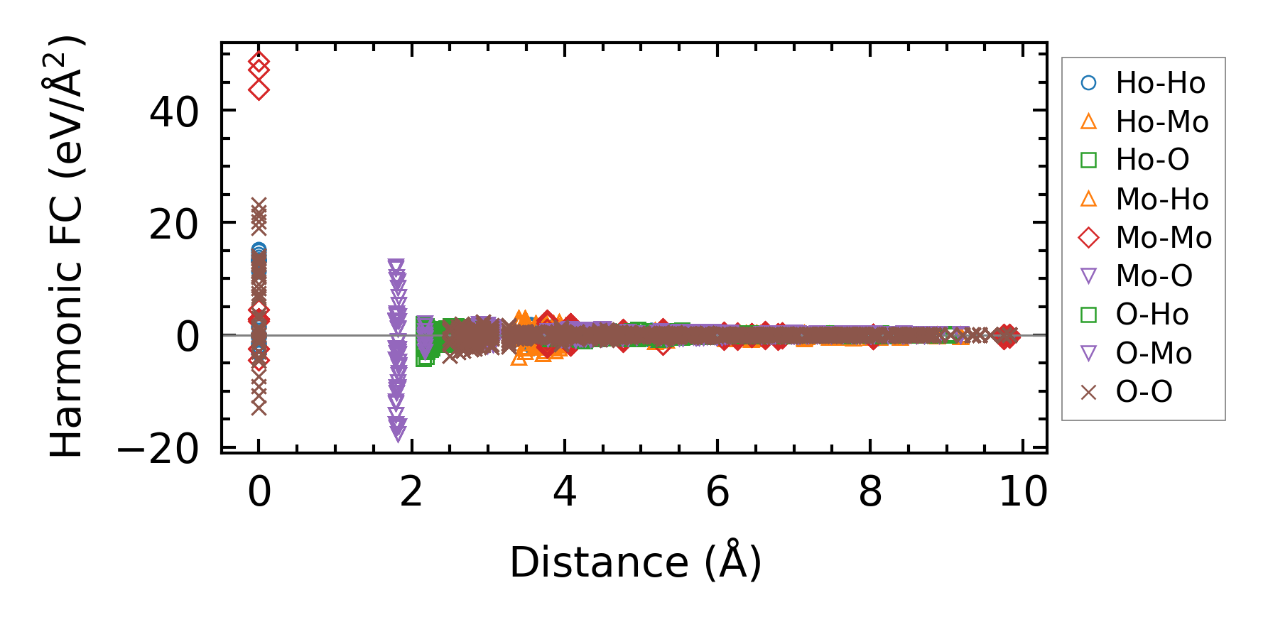
Force constants

../../_images/fig_fc213729.png

(a) Force constants w.r.t atomic distance

Summary

../../_images/fig_times23588.png

(a) Computation time