mp-16970-2/Na2Si2O5/anharm

Equation of state

../../_images/fig_bm7084.png

(a) Equation of state

Harmonic properties

../../_images/fig_bandos_pr14140.png

(a) Phonon dispersion with participation ratio and DOS

../../_images/fig_thermo14140.png

(b) Thermodynamic properties

Grüneisen parameters

../../_images/fig_gru_all6006.png

(a) Grüneisen parameters

../../_images/fig_gruneisen6006.png

(b) Phonon dispersion with Grüneisen parameters

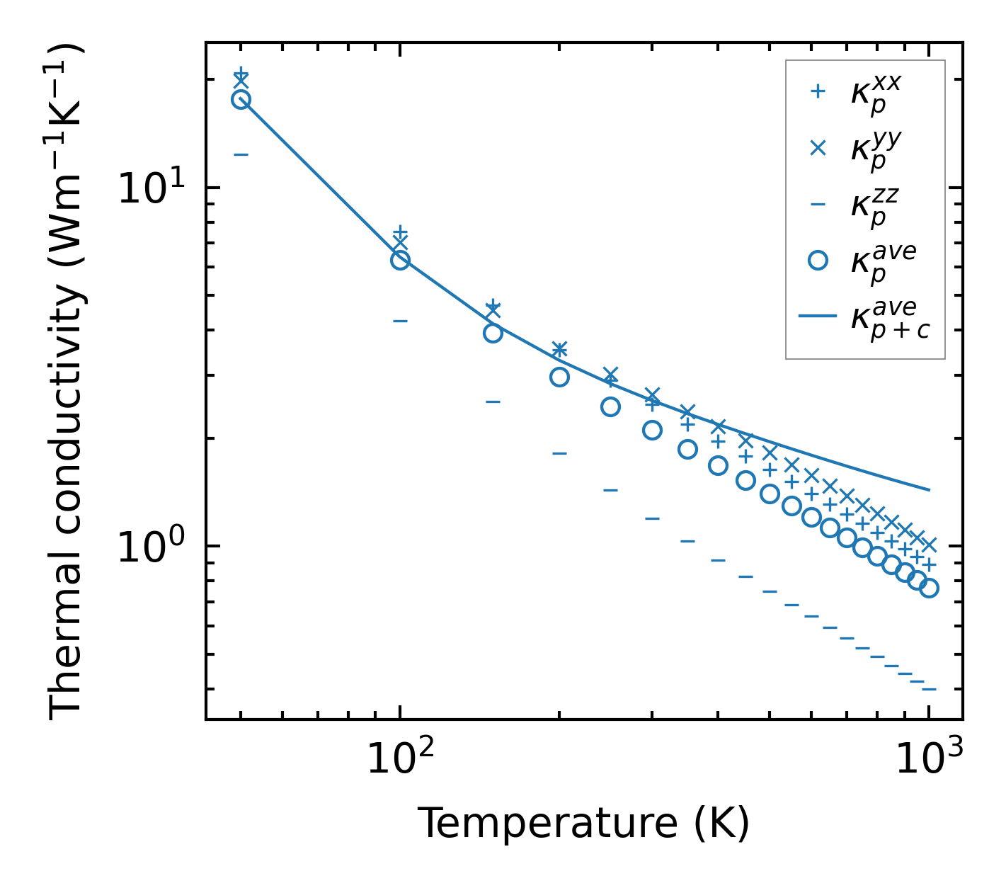
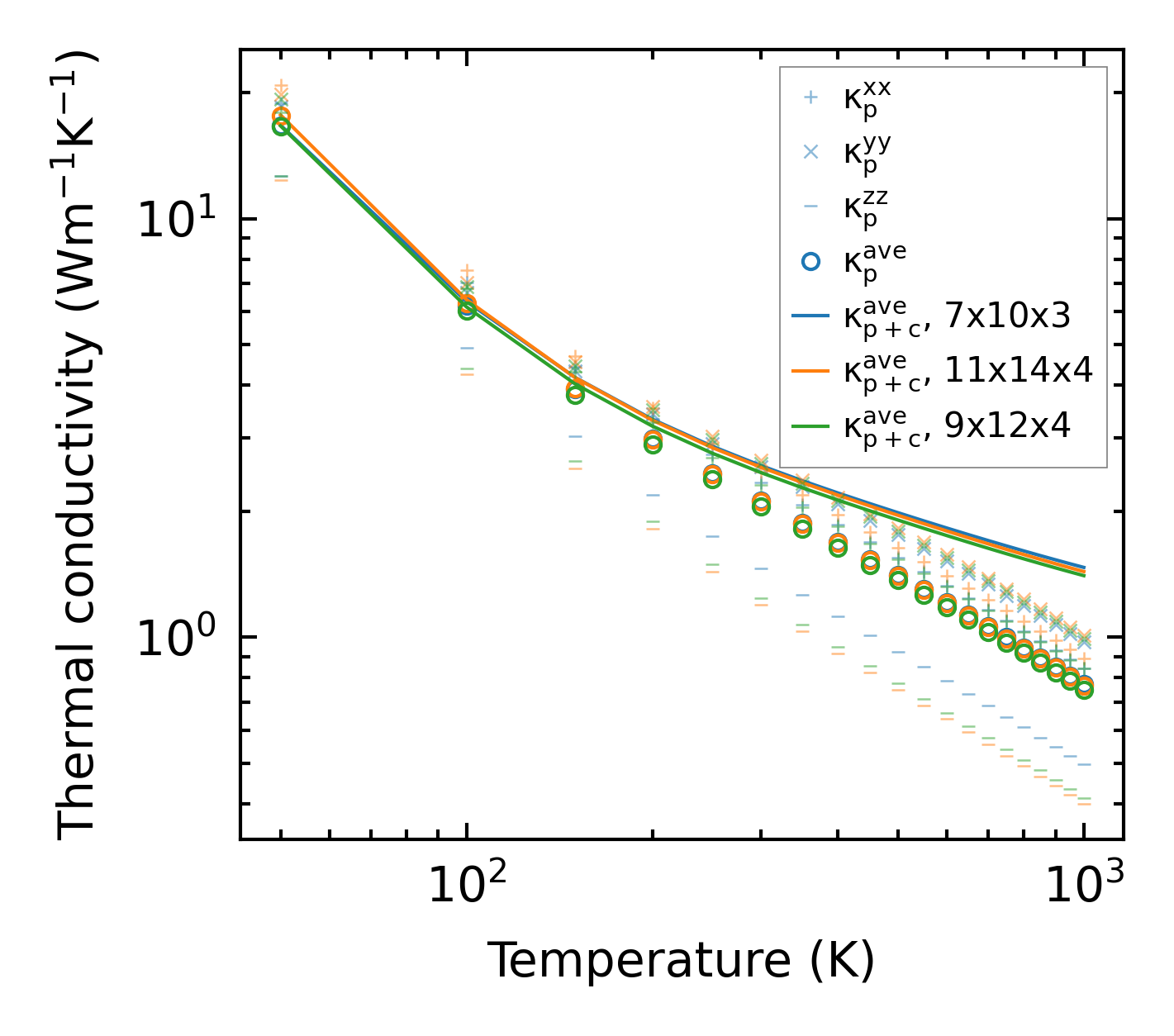
Thermal conductivity

3-phonon (LASSO) — q-mesh: 11x14x4, supercell: 2x2x1

../../_images/fig_kappa11307.png

(a) Temperature-dependent lattice thermal conductivity

../../_images/fig_kappa_vs_grain_size6085.png

(b) Peierls lattice thermal conductivity w.r.t grain size

Phonon lifetime and scattering rates

../../_images/fig_lifetime5949.png

(a) Phonon lifetime due to phonon-phonon scattering

../../_images/fig_scat_rates5948.png

(b) Phonon scattering rates

Cumulative and spectral thermal conductivity

../../_images/fig_cumu_frequency5949.png

(a) Spectral and cumulative thermal conductivity w.r.t frequency

../../_images/fig_cumu_mfp5948.png

(b) Spectral and cumulative thermal conductivity w.r.t MFP

Force constants

../../_images/fig_fc213768.png

(a) Force constants w.r.t atomic distance

Summary

../../_images/fig_kappa11308.png

(a) Temperature-dependent lattice thermal conductivity

../../_images/fig_times23650.png

(b) Computation time