mp-16695/K2ZnP2O7/anharm

Harmonic properties

../../_images/fig_bandos_pr14469.png

(a) Phonon dispersion with participation ratio and DOS

../../_images/fig_thermo14469.png

(b) Thermodynamic properties

Grüneisen parameters

../../_images/fig_gru_all6189.png

(a) Grüneisen parameters

../../_images/fig_gruneisen6189.png

(b) Phonon dispersion with Grüneisen parameters

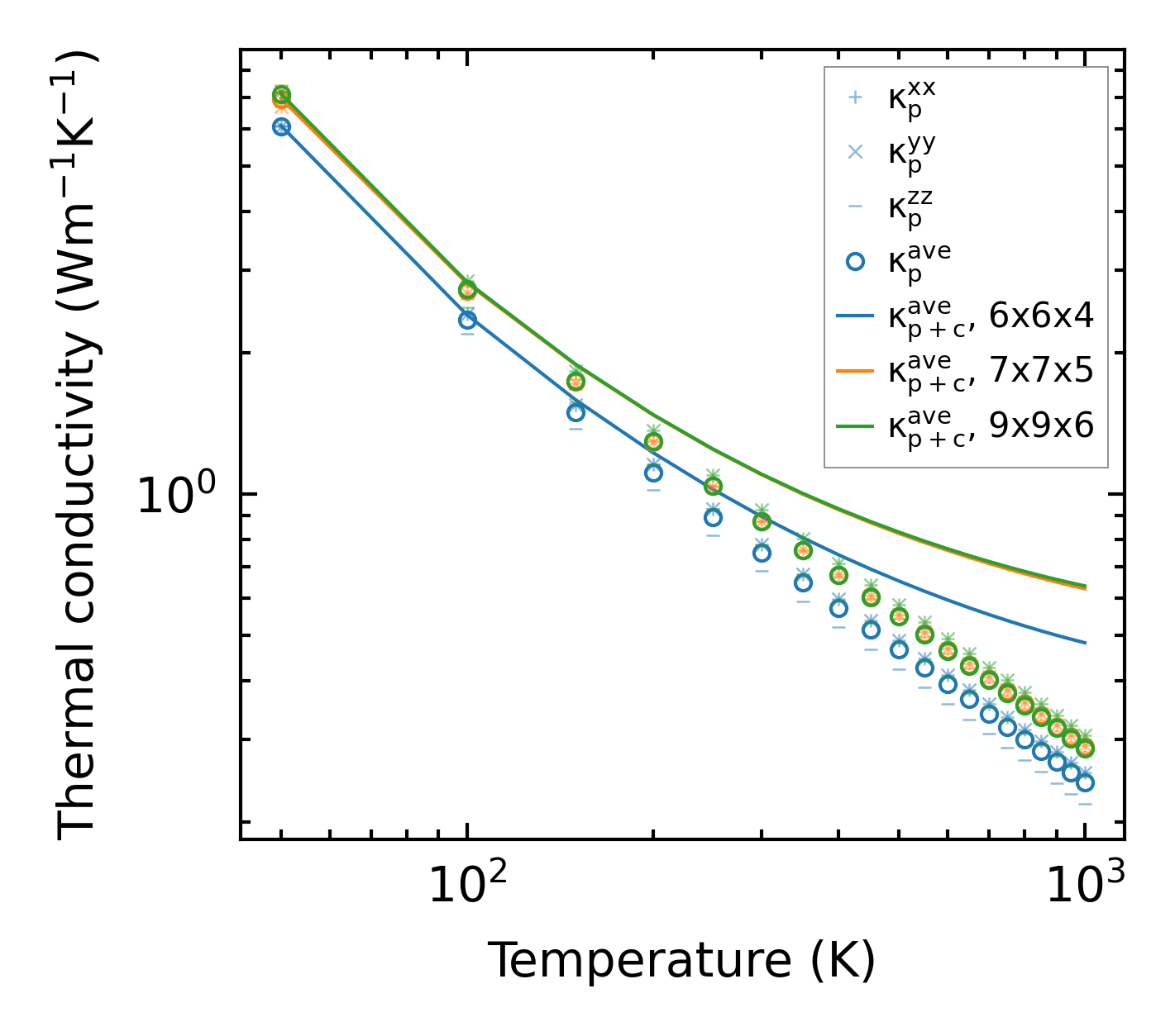
Thermal conductivity

3-phonon (LASSO) — q-mesh: 9x9x6, supercell: 1x1x1

../../_images/fig_kappa11644.png

(a) Temperature-dependent lattice thermal conductivity

../../_images/fig_kappa_vs_grain_size6267.png

(b) Peierls lattice thermal conductivity w.r.t grain size

Phonon lifetime and scattering rates

../../_images/fig_lifetime6128.png

(a) Phonon lifetime due to phonon-phonon scattering

../../_images/fig_scat_rates6127.png

(b) Phonon scattering rates

Cumulative and spectral thermal conductivity

../../_images/fig_cumu_frequency6128.png

(a) Spectral and cumulative thermal conductivity w.r.t frequency

../../_images/fig_cumu_mfp6127.png

(b) Spectral and cumulative thermal conductivity w.r.t MFP

Force constants

../../_images/fig_fc214089.png

(a) Force constants w.r.t atomic distance

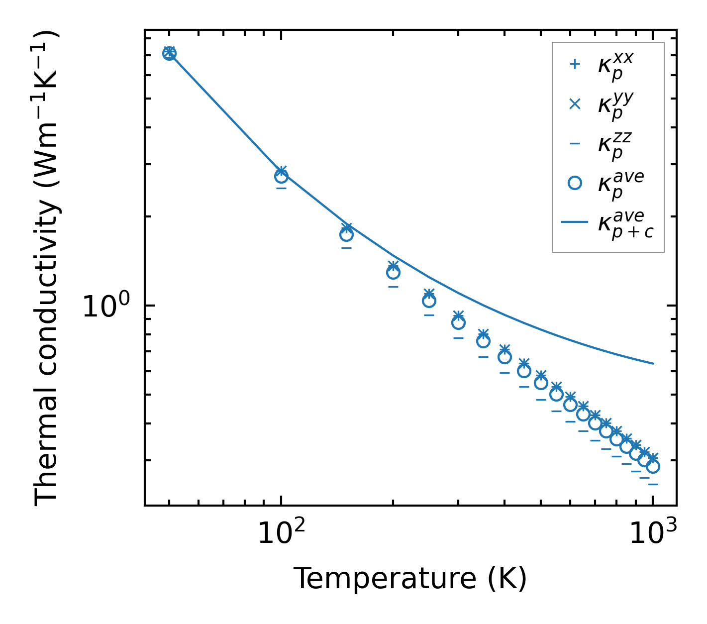
Summary

../../_images/fig_kappa11645.png

(a) Temperature-dependent lattice thermal conductivity

../../_images/fig_times24091.png

(b) Computation time